Экономика » Инвестиции » ОБ ОЦЕНКЕ ЭФФЕКТИВНОСТИ ИНВЕСТИЦИЙ

ОБ ОЦЕНКЕ ЭФФЕКТИВНОСТИ ИНВЕСТИЦИЙ

Рубрика - Инвестиции
Дасковский Вадим Борисович
д.э.н., профессор
научный руководитель
Национального института экономики
(НИЭк, www.niec.ru)

Киселёв Владимир Борисович
д.э.н., профессор

(Статья № 1. ОШИБОЧНАЯ СУТЬ МЕТОДА ДИСКОНТИРОВАНИЯ)

Методы оценки эффективности капиталовложений, возникшие в 1960-х гг., были восприняты экономистами как надежда на гарантированное экономическое процветание. Речь идет о методе дисконтирования денежных потоков и придания ему чувствительности к рискам и инфляции, использовании в расчетах способов бухгалтерского учета и т.д.

Однако изначальная эйфория, связанная со становлением новых методов оценки эффективности инвестиционных решений, сменилась периодом дискуссий и уныния. Поводом послужило значительное снижение темпов экономического роста и эффективности производства в США в сравнении с достигнутыми в первых трех четвертях XX века. Теоретики-эксперты в данной области ссылаются на ряд факторов, вызвавших падение темпов роста, но существенную часть этого спада им объяснить не удается.

Некоторые исследователи считают, что первопричиной спада темпов экономического роста является широкое применение метода чистой дисконтированной стоимости, ответственное за снижение объемов и эффективности капиталовложений. По их мнению, дисконтированию присуща предрасположенность против инвестиций, поскольку заставляет менеджеров смотреть в будущее через перевернутый телескоп дисконтированных потоков, который отдаляет, измельчает и обесценивает это будущее.

В нашей стране эффективность инвестиционной деятельности на данном этапе развития экономики неудовлетворительна, что крайне усугубляет отрицательные последствия острого дефицита инвестиций. Если падение темпов экономического роста в США лишь предположительно связывают с неполадками системы оценки эффективности инвестиций, то у нас отрицательные стороны этой системы проявляются в более выраженной форме.

Система показателей оценки эффективности инвестиционных проектов в условиях рынка включает две группы: дисконтированные – чистый дисконтированный доход (ЧДД), внутренняя норма доходности (ВНД), индекс дисконтированной доходности (ИДД) и простые (рентабельность активов проектов, срок окупаемости инвестиций прибылью, период возмещения инвестиций). При этом приоритетными считают дисконтированные показатели, поскольку расчетный срок их исчисления охватывает весь жизненный цикл индивидуальных проектов и учитывается фактор времени. Дальнейшее исследование ставит целью детализировать эту проблему и разработать рекомендации для теории и практики.

Особенности оценки эффективности инвестиций в переходной экономике. Экономика нашей страны в последние годы характеризуется рядом положительных сдвигов: продолжается экономический рост, хотя темпы его пока недостаточны; реализуются крупномасштабные национальные проекты социальной направленности и др.

В части трудностей переходного периода к развитому рынку и их влияния на рассматриваемую проблему выбора лучших инвестиционных проектов отметим следующие моменты. Низкий прожиточный уровень населения и непомерно большое число убыточных предприятий тормозят развитие внутреннего рынка. Прогнозирование спроса и сбыта продукции затруднено. Таможенные пошлины часто меняются. Цены на товары и услуги для населения растут. Инфляция в 2005г. составила: по потребительским товарам – 10,9%, добыче топливно-энергетических полезных ископаемых – 35,3, в машиностроении – 10,4, в промышленности – 13,4, в строительстве – 12,1, в сельском хозяйстве – 3, на грузовых перевозках – 16,6%1). Меры по обузданию её пока малоэффективны и прогнозировать темпы, а с ними и сроки завершения [этого процесса практически невозможно.

Налоговое бремя остается весьма тяжелым, особенно для малого бизнеса. По-прежнему высока ставка рефинансирования Центробанка. Велик долг государства внутренним кредиторам.

К внутренним факторам, способствующим будущей стабилизации экономики, но порождающим существенные текущие изменения пропорций и показателей хозяйственной деятельности, можно отнести: совершенствование налоговой системы, интенсификацию процесса импортозамещения, выравнивание социально-экономического уровня развития субъектов федерации; колебания цен по отдельным группам продукции, предшествующие стабилизации системы цен в стране; изменения в политике амортизации основных фондов; преодоление дефицита финансовых ресурсов и снижение коммерческой кредитной ставки; обновление основных производственных фондов и увеличение их рентабельности и т. д.

Изложенное характеризует экономическую среду на данном этапе развития как весьма динамичную, изобилующую элементами неопределенности. Росту неопределённости сложившейся ситуации будут способствовать внешние факторы: предстоящее вступление России в ВТО; непредсказуемые колебания мировых цен на нефть; геополитические изменения в мире и роли России в мировом сообществе.

Факторы, определяющие динамическую составляющую развития экономики, в целом обусловлены направлениями её реформирования с целью скорейшего преодоления переходного этапа и создания стабильных рыночных условий. Масштаб предстоящих преобразований убеждает в том, что путь предстоит немалый и займет, видимо, более 10 лет.

На данном этапе и в среднесрочной перспективе применение дисконтированных показателей, учитывающих неравноценность разновременных результатов и затрат для оценки эффективности инвестиционных проектов, как это принято в развитых (стабильных) рыночных экономиках, по нашему мнению, не осуществимо ввиду следующих причин: невозможность предвидения величины денежных потоков на временном интервале в 10–15 и более лет; значительные риски в инвестиционной деятельности при еще только зарождающейся системе страхования этих рисков; высокая норма дисконта (цена капитала на финансовом рынке), превышающая объективные возможности конструкторов и проектировщиков создать проекты для реального производства с таким высоким уровнем рентабельности активов, который бы обеспечивал их отбор к реализации по дисконтированным показателям, и поэтому ставящая преграду реализации инвестиционного проекта.

Приведём некоторые доводы в части невозможности предвидения величины денежных потоков в расчетном периоде (10–15 и более лет)2).

В соответствии с Методическими Рекомендациями по оценке инвестиционных проектов3) необходимый объем информации для обоснований их эффективности с помощью дисконтированных показателей (это относится к любым интегральным показателям) включает: прогнозные цены на выпускаемую продукцию и изменения цен на сырье, энергоносители, услуги и др. с учетом инфляции на весь период реализации инвестиционного проекта; прогноз изменения обменного курса валюты; сведения о системе налогообложения, включая базы и ставки бюджетов различного уровня; прогноз изменения во времени объемов и структуры производимой продукции, норм расхода сырья, численности персонала, норм запасов и т.д.; учет физического износа при формировании производственной программы, определении роста операционных издержек, замены основного технологического оборудования; изменение во времени экономических нормативов (ставки рефинансирования ЦБ, нормы дисконта, ставок налогов, пошлин, акцизов, размеров минимальной месячной оплаты труда и т.п.).

На вопрос о том, как получить эту информацию, авторы «Рекомендаций» отвечают, что она содержится в перспективных планах и прогнозах органов государственного управления. Неясными, однако, остаются два момента. Во-первых, как получить предприятиям (например, хлебозаводу) доступ к этой информации – ведь она не публикуется. Во-вторых, достоверность, надежность её. Так, темпы инфляции в последние годы превышают предусмотренные в федеральном бюджете, разрабатываемом ведущими специалистами, НИИ. Если несовпадения плановых и фактических цифр возникают в результате расчетов на один, причем следующий год, чего можно ожидать от прогнозирования этого показателя на 5–10–15 лет?

Не меньший интерес представляют вопросы, кто будет в соответствии с «Рекомендациями» разрабатывать многосценарные обоснования реконструкции предприятий, общее число которых в 2006г.составляло 4,77 млн., во что обойдётся это прогнозирование оценок эффективности инвестиционных проектов, а особенно – насколько будут соответствовать практические результаты их реализации проектируемым?

Очевидно, что надежно прогнозировать динамику денежных потоков инвестиционных проектов на период 8-10-15 лет в условиях перехода к стабильному хозяйствованию невозможно. Попытка использовать ориентировочные данные может привести к грубым искажениям оценок. Поэтому применение на этапе перехода экономики к инновационному развитию интегральных показателей, в том числе и дисконтированных, нерационально.

По нашему мнению, на переходном этапе качественных преобразований экономики акценты должны быть перенесены на простые показатели измерения эффективности инвестиций, не требующие учёта фактора времени. Они базируются на локальных интервалах времени, как правило годовых, и лучше адаптированы к динамичным условиям экономической среды переходного периода к стабильному развитому хозяйству.

Анализ результатов и положений теории обесценивания денег. Начнём с исследования особенностей и возможностей дисконтированного показателя системы отбора эффективных инвестиционных проектов – чистого дисконтированного дохода (ЧДД).

Чтобы легче было разбираться в проблемах, связанных с данным показателем, рассмотрим стандартные инвестиционные проекты, при их реализации, имея ввиду следующее:

  • сначала предстоит осуществить затраты денежных средств (допустить отток средств) и лишь потом можно рассчитывать на денежные поступления (притоки средств);

  • инвестирование производится не заёмными, а собственными средствами;

  • методические приёмы учёта темпов инфляции и рисков при обоснованиях эффективности инвестиций разработаны и не ревизуются; для упрощения понимания сути концепции учёта фактора времени принято допущение об отсутствии инфляции и рисков;

  • окупаемость проекта обеспечивается чистой прибылью и амортизационными отчислениями (денежными поступлениями)4), поэтому все другие промежуточные показатели: объём реализации, себестоимость продукции, налоговые вычеты и т.д. – из обозрения исключаются, что упрощает запись формулы ЧДД и его анализ;

  • годовые денежные поступления будут оставаться равными на протяжении всего рассматриваемого периода реализации инвестиций.

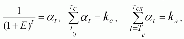
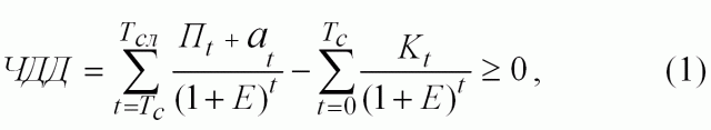
Перечисленные условия позволяют представить формулу ЧДД в следующем виде:



где,

Пt и аt – годовая чистая прибыль и амортизация в году t;

Кt – cумма инвестиций;

Е – норма дисконта;

Тс и Тсл – сроки строительства и эксплуатации (службы) объекта, лет.

Чистый дисконтированный доход представляет собой сумму дисконтированных ежегодных разностей между оттоками и притоками реальных (за вычетом налогов, выплат процентов за кредит и т. д.) денег за весь период жизни проекта. Моментом приведения будущих затрат и результатов к их текущей стоимости является предполагаемое начало осуществления проекта.

Если рассчитанный ЧДД положителен, то эффективность проекта выше нормы дисконта, и проект можно считать приемлемым. Если он равен нулю, то его эффективность – на уровне дисконта, а прибыли хватит лишь на расчеты с кредиторами. При отрицательном значении от проекта следует отказаться. Очевидно, что чем больше ЧДД, тем эффективнее проект и тем надежнее он защищен от отрицательного влияния факторов риска.

Показатель чистого дисконтированного дохода удобен тем, что может быть применим и в условиях наличия альтернативных проектов, и для единичного проекта. В последнем случае получение положительной или нулевой величины его значения подтверждает, что заданная величина барьерной ставки дисконта успешно преодолевается и позволяет с учетом других факторов принять решение о реализации.

Большой недостаток ЧДД заключается в том, что результат расчета, хотя и выраженный в рублях, не дает аналитику представления о сумме реального дохода, поскольку в процедуре дисконтирования реальные деньги в расчетных целях замещают условными.

Это общепринятая характеристика показателя ЧДД. Для установления скрытых дефектов его нами выполнен поиск размера годовой прибыли (а по ней и рентабельности активов инвестиционных проектов), обеспечивающей равенство дисконтированных затрат и результатов проекта (ЧДД=0).

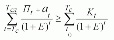
Необходимые преобразования (1) свелись к следующему:

 

Если

 

а Пt и аt сохраняет свою величину в каждом году t, возможны дальнейшие упрощения:

при




получаем

наконец

 

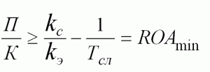
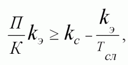
Таким образом, минимальная рентабельность активов проекта (ROAmin), обращающая ЧДД=0 и дающая шансы инвестиционному проекту оказаться принятым к реализации, определяется выражением:

 

где,

kс - сумма коэффициентов дисконтирования за период строительства объекта, лет;

kэ – сумма коэффициентов дисконтирования в фазе эксплуатации объекта, лет.

Минимальная рентабельность активов инвестиционных проектов, окупающая инвестиции в техническое перевооружение предприятия (ЧДД=0), в зависимости от ставки дисконта в интервале её значений Е=2÷25% и срока службы активной части основных фондов 8 и 14 лет по формуле (2) имеет значения, приведенные в таблице.

Следует особо отметить, что данные таблицы справедливы только для условий технического перевооружения, при котором годовые амортизационные отчисления точно выражаются зависимостью от срока службы оборудования, технологической линии и т.д. (а=К/Tсл). Для всех других форм капитального строительства годовая амортизация является усредненной величиной, получаемой суммированием разнородных составляющих по разным нормам амортизации для зданий, сооружений и др., что обусловливает не нужное в данном случае усложнение материала. При этом ROAmin, окупающая инвестиции, будет возрастать по ряду: реконструкция, расширение, новое строительство.

Минимальная рентабельность активов инвестиционного проекта, приводящая к равенству дисконтированных результатов и затрат (ЧДД=0)

 

Приведенные данные свидетельствуют о том, что рентабельность оборудования, обеспечивающая возмещение инвестиций на его замену (с использованием и амортизационных отчислений), от сроков его службы в интервале 8-14 лет при наиболее вероятной ставке дисконта в развитой рыночной экономике 4-8% практически не зависит. В наиболее вероятном интервале значения ставки дисконта в развитой рыночной экономике 4-8% значения ROAmin составляют всего 2,3-5% (при Tсл= 8-14 лет). В то же время рентабельность активов крупных и средних предприятий промышленности в нашей стране в 2004г. была 10,3%5), т.е. многократно превосходила барьерные требования признания инвестиционного проекта эффективным по ЧДД.

Здесь мы вплотную подошли к проблеме установления нормы прибыли на инвестиции (норматива рентабельности активов) с позиции предприятия. Многие авторы отождествляют норму прибыли (рентабельности) активов проекта и норму дисконта, хотя между ними большое различие: первая характеризует уровень наиболее прогрессивного производства и представляет интересы предприятий, а вторая - интересы инвесторов, ориентированные в основном на цену капитала на финансовом рынке. Это совершенно разные нормы. Причём норма рентабельности активов инвестиционный проект должна быть гораздо выше нормы дисконта.

Принятая во всех развитых экономиках система оценки эффективности проекта по сути таковой не является, поскольку предъявляет требования к его соответствию более низкой эффективности ссудного капитала (финансового рынка). Прямым подтверждением этого факта является показатель внутренней нормы доходности (ВНД), в котором для сравнения с рыночной определяется индивидуальная (внутренняя) норма дисконта проекта. Значение ROA вообще не рассматривается.

На наш взгляд, если норматив рентабельности принять по её фактическому среднеотраслевому значению, он не будет иметь стимулирующей функции: для благополучных предприятий он мал, для низкорентабельных и убыточных предприятий будет показывать промежуточный, не обеспечивающий конкурентоспособность уровень рентабельности. Только реализация проекта на базе современной техники и технологии позволит убыточным предприятиям кардинально решить свои проблемы и стать прибыльными. Следовательно, ориентиром для установления норматива рентабельности активов проекта должны служить достижения предприятий-лидеров.

Укрупненно величину нормы прибыли с позиции предприятия (норматив рентабельности их активов ROAн) можно определить путём отсева убыточных предприятий (их удельный вес в 2004г. был 38,5%). Кроме того, для проектов технического перевооружения и реконструкции характерна концентрация инвестиций на инновационном обновлении активной части основных фондов, доля которых в рассматриваемом году вместе с устаревшими сооружениями оценивалась в 60% от общей стоимости основных фондов. По нашим расчётам, рентабельность инвестиций в техническое перевооружение по промышленности в целом с учётом названных двух факторов должна быть не ниже 28% (10,3%:(1-0,385):0,6).

Бесспорно, расчёты по этой схеме имеют ориентировочный характер. К тому же рентабельность активов по отраслям промышленности значительно дифференцирована. Однако сравнение самого порядка цифр минимальной рентабельности активов (2,3-5%), открывающей путь по показателю чистого дисконтированного дохода (при норме дисконта 4-8%) к реализации проекта, и средней по промышленности – 10,3% (не говоря уже о расчётной рентабельности активов для технического перевооружения – 28%), убеждает в том, что показатель ЧДД не соответствует отведенной ему в системе показателей оценки эффективности проекта в развитой рыночной экономике роли заглавного показателя в отборе к реализации проектов. Не объясняет ли этот факт объективную обусловленность снижения эффективности инвестиций и связанное с этим замедление темпов экономического роста в США (и других развитых странах), широко использующих метод дисконтирования?!

Ещё один типовой результат, дискредитирующий метод дисконтирования, определяется самой технологией учёта фактора времени. Шкала коэффициентов дисконта, если её внимательно рассмотреть, показывает, что аппарат дисконтирования за счет неуклонно уменьшающихся по годам расчетного периода коэффициентов приведения денежных потоков будущего периода к начальному существенно занижает реальные доходы проекта и снижает шансы его окупаемости. Единовременные затраты (инвестиции) расположены в начале шкалы, т.е. в зоне коэффициентов, близких по величине к 1, а, например, доходы 12-го года (при ставке дисконта 0,08) будут уменьшены коэффициентом α12=0,38. В результате создается несообразная ситуация, в которой взятые в отдельности дисконтированные потоки чистой прибыли или амортизационных отчислений, как правило, не возмещают капиталовложения.

Простое воспроизводство активной части основных фондов при обоснованиях дисконтированными показателями неосуществимо: сумма дисконтированных амортизационных отчислений за все годы срока полезного использования любого объекта при любых ставках дисконта оказывается меньше дисконтированных инвестиций на создание подлежащего замене объекта основных фондов.

Лишь при ставке дисконта, равной 0, т.е. при переходе к оценке эффективности инвестиционного проекта от дисконтированного показателя ЧДД к интегральному показателю чистого дохода (без учёта фактора времени) ЧД, сумма амортизационных отчислений возмещает первоначальные инвестиции. Получается, что теория обесценивания денег во времени опровергает аксиому экономики: амортизация за нормативный срок службы объекта обеспечивает его замену.

Лишена экономического смысла сама структура показателя ЧДД, которая допускает равенство дисконтированных инвестиций и суммы дисконтированной чистой прибыли и амортизации и при которой ещё допускается рассмотрение о принятии либо отклонении проекта. Между тем совершенно очевидно, что не существует в пределах разумного ситуации, в которой сумма чистой прибыли и амортизации, не обработанная аппаратом дисконтирования, не окупила бы инвестиции. Структура ЧДД просто нерациональна, а это свойство придал ей учёт фактора времени методом дисконтирования с присущим ему обесцениванием результатов проекта будущего периода. Последнее обстоятельство является свидетельством ошибочности теории обесценивания денег во времени, механизмом реализации которой является аппарат дисконтирования.

Метод дисконтирования, базируясь на интегральных (за весь расчетный период) показателях и декларируя их примат в сравнении с годовыми оценками, в действительности обесценивает их весомость и влияние, тем самым подрывая значимость учета фактора времени в оценке приемлемости и приоритетов инвестиционных проектов.

Измельчение дисконтированных доходов будущего периода не только создает препятствия системного характера в обосновании эффективности инновационных капиталоёмких проектов, но, еще хуже, порождает отрицательный стереотип отношения предпринимателей к инвестиционной деятельности как бесперспективной.

Элементы и различные стороны метода чистой дисконтированной стоимости. Основными элементами теории (концепции) обесценивания денег будущего периода являются идея учета альтернативных вложений при оценке эффективности инвестиционных проектов и аппарат дисконтирования, реализующий требования идеи и теории в целом в практике обоснования эффективности инвестиций.

Идея, положенная в основу теории обесценивания денег и доходов будущих периодов, заключается в учете альтернативных потерь в процессе оценки эффективности проектов. Предполагается, что если предприниматель (предприятие) откажется от возможности передать свободные средства на депозит в банк, приобрести облигации, акции и т.д. и предпочтет вложение своего капитала в инвестиционный проект, то он, имея доход от реализации проекта, будет ежегодно терять то, что мог бы иметь в банке (в другом месте). Чтобы количественно учесть эти потери, каждому году присваивается коэффициент (коэффициент дисконта) приведения стоимости дохода будущих лет к начальному году αt=1/(1+Е)t, понижающий результат инвестиционного проекта. Коэффициенты шкалы дисконта уменьшаются тем быстрее, чем выше ставка дисконта Е. Как следствие, чем выше был бы альтернативный доход, тем больше учитываемые потери и вычеты этих потерь из результата проекта при оценке его эффективности.

Например, показатель ЧДД рассчитывается с ежегодным завуалированным вычитанием из результата инвестиционного проекта с помощью коэффициентов дисконта альтернативных потерь. В итоге он является не результатом реализации проекта, а разностью реального его дохода и утраченного дохода на финансовом рынке. ЧДД – это не результат проекта, а его часть, эффект. Он показывает, какой эффект получил бы предприниматель от вложения капитала в проект, а , например, не на банковский депозит. Реальный результат проекта выше, чем ЧДД, на сумму банковского (иного альтернативного) дохода. Как видим, трактовка ЧДД как результата проекта некорректна.

Теперь рассмотрим основные положения механизма дисконтирования, реализующего суть теории обесценивания доходов будущего периода. Большую роль в процессе дисконтирования играет норма дисконта. В системе доказательств справедливости обесценивания будущих средств у всех авторов в качестве альтернативы капиталовложениям в проект фигурирует банковский депозит или кредит. Величина дохода по кредиту в разы превышает депозитное инвестирование, разнится и динамика годовых доходов, описываемая в чистом виде сложными процентами только при вложениях капитала на депозит.

Пользоваться выгодами кредитования могут лишь владельцы крупного капитала: финансово-промышленные группы, концерны, банки и др. Удел миллионов предприятий и предпринимателей – накопление свободных средств на банковском депозите, но в этом случае и их альтернативные потери при оценке проекта должны быть меньше. Между тем коэффициенты дисконта объединены в непрерывно убывающую шкалу, элементы которой разнородны: доход на капитал - кредитный, динамика роста капитала (сложные проценты) – депозитная.

Притоки и оттоки средств инвестиционного проекта корректируются (уменьшаются) коэффициентами дисконта, чем по замыслу создателей действующей методики осуществляется вычитание неполученного альтернативного дохода. По сути, дисконтирование представляет собой процедуру сбора дисконтного налога с оцениваемого проекта, а дисконт (разность ЧД и ЧДД) – сумму собранных налогов.

"Дисконтный налог" взимается в относительной величине по годам расчетного периода с оттоков и притоков денежных средств инвестиционного проекта. При Е=0,1 он составляет: (1-0,91) – для первого года, (1-0,83) – для второго года, 1-1/(1+Е)t – для t года реализации проекта. Конкретная альтернатива проекту не существует, ее силуэт определяется математически с помощью ставки дисконта. Таким образом, в практику обоснований эффективности инвестиционного проекта введен набор математических шаблонов (лекал), отличающихся один от другого ставками дисконта и выраженных общеизвестными шкалами дисконтирования.

Если банковские коэффициенты сложных процентов служат установлению величины первоначального капитала вместе с получаемыми на него доходами – К0(1+Е)t, то дисконтные коэффициенты (обратные банковским) служат для вычитания банковского дохода и приведения капитала к его первоначальной величине - К0t/(1+Е)t. Подобная технология учета фактора времени справедлива, но только в сценарии развития событий по банковскому типу.

В действительности формирование экономических потоков на банковском депозите и в инвестиционном проекте совершенно различно (см. рисунок).

 

Формирование результатов и затрат инвестиционного проекта с учетом (Б) и без учета фактора времени (А)

В банке сложные проценты моделируют реальный процесс прирастания капитала. Условия этого прирастания базируются на постоянстве и определенности величины вклада и годового дохода, что позволяет точно определить промежуточные и конечные результаты.

В инвестиционных проектах средства трансформируются в немобильный, существенно менее ликвидный капитал. Причем если инвестиции на банковский депозит носят одномоментный характер, то инвестирование в инвестиционный проект растянуто, иногда на несколько лет. Только с момента ввода объекта в эксплуатацию он ежегодно генерирует свободные средства, величина которых значительно меньше затраченного капитала.

Вклад капитала на депозит в банк обеспечивает ежегодное прирастание дохода от всей величины капитала с момента его вложения при временном лаге один год. В инвестиционном проекте реального производства прирастание дохода возможно не от всей суммы затраченного капитала, а от денежных поступлений, которые будет давать ежегодными порциями введенный в строй объект до завершения его эксплуатации. Общая сумма денежных поступлений за срок службы предприятия существенно превышает размер исходного капитала, поскольку только сумма амортизационных отчислений его возмещает. Ничто не мешает размещению их на банковский депозит (иным способом) с целью получения дохода.

Таким образом, преимуществами банковского сценария получения дохода на капитал являются минимальный временной лаг между размещением средств на депозит и началом приращения дохода (квартал, один год) и начисление во всех последующих годах дохода на всю величину капитала вместе с приростом процентных доходов на него.

Преимуществами вложения средств в проект - гарантированное их возмещение амортизационными отчислениями в условиях отсутствия или низкой инфляции, доход в виде ежегодных поступлений чистой прибыли, превышающий банковский процент, возможность получения вторичного (непрофильного) дохода от использования денежных поступлений на финансовом рынке.

Данные выполненного сопоставления этих альтернатив инвестирования капитала позволяют усомниться в способности банковской модели образования дохода дать адекватные решения при применении ее в форме метода дисконтирования для учета фактора времени при обосновании эффективности инвестиционного проекта ввиду коренных различий базы и времени образования, размеров дохода, его состава и т.д.

Действующая теория учета фактора времени (обесценивания денег будущих периодов) при оценке эффективности инвестиций порождает парадоксальные ситуации и выводы. Так, при сравнении двух инвестиционных проектов незримо присутствует третий – альтернативный. О его существовании расчетчик часто даже не догадывается. Реально сравнению подвергаются не результаты двух инвестиционных проектов, а их эффекты, то есть результаты за вычетом результата альтернативы-невидимки, поскольку в общем случае альтернатива не обозначается.

Помимо искусственно созданных неопределенностей, можно констатировать нарушение общеизвестного принципа, подразумевающего сравнение результатов, а не эффектов проекта. Ничто не мешает определить результаты двух, трех и более проектов, включая и альтернативу-невидимку, после чего заключить, который из них и насколько лучше. Однако следование этому естественному и принятому порядку обоснований означает неприятие действующей теории учета фактора времени, базирующейся именно на вычете альтернативных потерь, т.е. дисконтировании.

Обоснование эффективности проекта по дисконтированным показателям не даёт ответа на основной вопрос предприятия или предпринимателя: какой реальный результат будет достигнут, какими будут прирост прибыли и улучшение других показателей хозяйственной деятельности?

Показатель ЧДД не проясняет эти вопросы, поскольку представляет собой лишь часть действительного результата. Другая, невидимая владельцами проекта, но отчётливо показанная на рисунке (1Б) и весьма значительная часть результата (дисконт проекта) исчезает не только из поля зрения, но и по неизвестному адресу и счёту. В отличие от принятого и рационального резервирования (расчётного уменьшения) в процессе экономических обоснований эффективности проекта части его результата на покрытие отрицательных последствий инфляции и риска, отторжение значительной массы результата для компенсации «вредного действия» фактора времени лишено оснований и смысла. Дисконтирование приводит к «обрядовому» изъятию из результата инвестиционного проекта реальных денег как дань культу теории обесценивания денег.

Дисконтированные показатели виртуальны, совершенно не совместимы с показателями реальной экономики, не могут быть использованы в практике хозяйственной деятельности при планировании, разработке инвестиционных программ развития предприятия.

Условия переходной экономики с характерной для них неопределённостью движения показателей инфляции, цен, налогообложения, амортизации, рентабельности, удельных капиталовложений определяют нерациональность применения интегральных показателей для оценки эффективности инвестиций в связи с невозможностью достоверного прогнозирования этих показателей в пределах жизненного цикла инвестиционных проектов 7-12 лет и более.

Учёт фактора времени методом дисконтирования усугубляет общую неприемлемость интегральных показателей оценки эффективности инвестиционных проектов ввиду полной зависимости результатов обоснований эффективности от величины нормы дисконта, ориентированной на непомерно высокую процентную ставку кредитного рынка. Дисконтированные показатели являются преградой для отбора к реализации эффективных, высокотехнологичных проектов. Преодоление существующих трудностей возможно использованием в переходном периоде системы простых показателей.

Теория обесценивания денег во времени имеет много противоречий. Например, принимается допущение о том, что в банке (альтернатива инвестиционного проекта) в отличие от всего остального экономического пространства время деньги множит, а не обесценивает. В банке при кредитной ставке 10% годовых сообщат, что, вложив 1000 руб. сегодня, через 5 лет получите 1610 руб. Вам же как предпринимателю специалисты по дисконтным обоснованиям проекта при тех же условиях насчитают 620 руб. Но утешат: в оценке сегодняшнего дня эти будущие 620 руб. эквивалентны 1000 руб. и, следовательно, Вы ничего не потеряете...

Эта теория наделяет время несвойственной ему функцией обесценивать деньги, в чем убеждает практика. Пролежавшая 5 лет в сейфе тысячерублёвая купюра сохранит свой номинал. При отсутствии инфляции покупательная способность этой банкноты сохраняется равной в начале и конце названного периода (покупательная способность японской иены на внутреннем рынке стабильна десятилетиями). Обесценить деньги могут только инфляция, финансовый кризис или другие форс-мажорные обстоятельства, но не время.

Изложенное позволяет заключить, что назрело создание альтернативной концепции учёта фактора времени в обоснованиях эффективности инвестиций, которая бы реально моделировала движение денежных потоков инвестиционных проектов во времени, учитывая изменение их величины под его влиянием.
1)Россия в цифрах. 2006: Крат.стат.сб. / Россия – М.2006.
2) Дасковский В.Б., Киселёв В.Б. Особенности оценки эффективности инвестиций в экономике переходного периода // Пищевая промышленность. - М.2005. № 1,2.
3)Методические рекомендации по оценке инвестиционных проектов (вторая редакция). Официальное издание. - М.:Экономика, 2000.
4)Впервые в отечественной экономической литературе сумма годовой чистой прибыли и амортизационных отчислений обозначена терминои «денежные поступления» (англ. cаsh flow) в работе Липсица И.В. и Коссова В.В. Инвестиционный проект. - М.:Издательство БЕК, 1996. с.7-11.
5)Россия в цифрах 2005: Крат.стат.сб. / Россия – М.2005.

Другие статьи авторов:
ФАКТОР ВРЕМЕНИ ПРИ ОЦЕНКЕ ЭФФЕКТИВНОСТИ ИНВЕСТИЦИОННЫХ ПРОЕКТОВ (Статья № 2. МЕТОД ФАЗОВОГО УЧЁТА ФАКТОРА ВРЕМЕНИ (ФУВ) ПРИ ОЦЕНКЕ ИНВЕСТИЦИОННЫХ ПРОЕКТОВ)
СОВЕРШЕНСТВОВАНИЕ ОЦЕНКИ ЭФФЕКТИВНОСТИ ИНВЕСТИЦИЙ (Статья №3. МЕТОД ОЦЕНКИ ИНВЕСТИЦИОННЫХ ПРОЕКТОВ ПО ЭФФЕКТИВНОСТИ ПРОИЗВОДСТВА (ОЭП))
 
Ссылка на статью:
Дасковский В.Б., Киселёв В.Б. Об оценке эффективности инвестиций // Экономист. - М.2007.№3.

Источник публикации: http://www.niec.ru/ - Национальный институт экономики (НИЭк)