Экономика » Анализ » О вертикальном сбалансированном прогнозировании ВВП экономики Украины

О вертикальном сбалансированном прогнозировании ВВП экономики Украины

Рубрика - Анализ
Ю.С. Архангельский

О точности прогнозов ВВП Украины. Существующая система прогнозирования развития экономики Украины весьма несовершенна. Об этом говорит высокая неточность ежегодных прогнозов Кабинета Министров Украины (КМУ): в 1991-1994 гг. ошибка прогноза колебалась от 12 до 18 проц. п., в 1995-2006 гг. - от 0,1 до 9%. В последние пять лет она не превышала 6%.

Главный недостаток применяемых методов прогнозирования состоит в том, что они опираются в основном только на отчетную информацию и экспертные оценки. Это касается как эконометрических моделей, так и экстраполяционных и экспертных методов, которые относительно эффективны при устойчивом развитии и достаточной автономности экономики той или иной страны от мировой экономики.

Сравнительное представление о точности прогноза развития экономики, составляемого КМУ (с помощью Минэкономики, Минфина и др.), а также Институтом экономического прогнозирования (ИЭП) и отдельными учеными приводится в табл. 1.

Прогноз ВВП КМУ. Точность для периода резкого спада экономики (19911996 гг.) была неудовлетворительной, а для периода стабилизации (1997-2000 гг.) -приемлемой. Но для периода роста экономики (после 2000 г.) точность прогноза опять существенно снизилась за исключением прогноза на 2006 г.).

Прогноз ВВП ИЭП в отдельные годы (1999, 2005) был точнее прогноза КМУ, а в другие годы - наоборот. При этом следует отметить, что прогноз ИЭП являлся среднесрочным, в то время как прогноз КМУ - текущим, и следовательно, более точным, так как он учитывает ежегодные изменения экономики.

Прогноз Б.Я. Панасюка [1, 2] отличается значительной величиной ошибки: на 1995- 2000 гг. она колеблется от -2 до 9,4 проц. п. За этот же период ошибка КМУ колебалась от -3,9 до 6,2 проц. п.

Прогноз Ф.Н. Клоцвога - Ю.В. Василенко [3] также недостаточно точен, что следует как из данных табл. 1, так и из следующих данных: при фактическом росте ВВП Украины за 2001-2005 гг. на 53,4% соответствующие разработки этих авторов предполагали в 1-м варианте рост на 6,6% за этот же период, во 2-м - на 19-20%. Даже по оптимистическому варианту намечалось, что экономика будет развиваться в 2,5 раза медленнее, чем это имело место фактически.

Прогнозы автора статьи оказались также неудовлетворительными. Это касается прогнозов, выполненных на основе как регрессивных зависимостей, так и на основе МОБ.

Таблица 1

Прогнозные и фактические темпы прироста (снижения) ВВП Украины, 1991-2006 гг. % к предыдущему году*

Темп прироста (снижения) ВВП

1991

1992

1993

1994

1995

1996

1997

1998

1999

2000

2001

2002

2003

2004

2005

2006

Фактическое значение

-12

-17

-14

-23

-12,2

-10

-3

-1.9

-0,2

5,9

9,2

5,2

9,6

12,1

2,7

7,1

Прогноз:

                               

КМУ**

2

1

-2

-7

-6

-1

0.5

0.5

-1

2

4

6

4

8

6,5

7

ИЭП [5, с. 138]

               

-0,6

-0,2

0,1

1,5

2,2

3

3,5

 

Оценка*** [1, 2]

       

-14,2

-1,4

5,4

7,5

7,9

9,2

       

7,3

 

Оценка**** [3]

                   

1,3

1,3

1,3

1,3

1,3

 

Ошибка прогноза

                               

КМУ

14

18

12

16

6,2

9

3,5

2,4

-0,8

-3,9

-5,2

0,8

-5,6

-4,1

3,8

-0,1

ИЭП

               

-0,4

-6,1

-9,1

-3,1

-6,3

-9

1,1

 

Оценка*** [1, 2]

       

-2

8,6

8,4

9,4

8,1

3,3

       

4,7

 

Оценка**** [3]

                   

-7,9

-3,9

-8,3

-10,8

-1,4

 

* Незаполненные графы означают отсутствие расчетных данных.

**Расчеты к государственным бюджетам Украины; источник [4].

*** Мминимум по умеренному варианту.

****Минимальный вариант.

Так, прогноз роста ВВП на 1999 г., рассчитанный с помощью трендовой модели на основе «антипараболы», составил 1% (фактическое значение -0,2%) при доверительном интервале (-2, +4), т.е. точность явно неудовлетворительная [6]. По прогнозам, выполненным автором на основе МОБ на 1992-1994 гг., ошибка номинального ВВП (с учетом инфляции) составила от 30% до 42% [7], а ошибка прогноза на 1997-1998 гг. - 28-37% [6].

Таким образом, в целом точность прогнозов развития экономики Украины явно недостаточна.

Краткий обзор применяемых методов. Прогноз по эконометрическим моделям. Система секторальных моделей прогнозирования ИЭП. Основой этой системы является модель реального сектора экономики (сектора производства товаров и услуг), которая описывается 42-мя регрессионными уравнениями и 31-м тождеством (балансовыми уравнениями). Эти соотношения дополнялись блоком дезагрегированных переменных по отдельным отраслям народного хозяйства. Построение регрессионных уравнений осуществлялось методом наименьших квадратов на основе временных рядов за 1985-1998 гг. [5].

Модель, которая строилась под руководством Б.Я. Панасюка, основывается на производственной функции Кобба-Дугласа как в линейной, так и в степенной форме (3 уравнения). При этом использовалась информация в основном за три года: 1992-1994 гг.; в некоторых случаях - за 1990-1992 гг. Широко применялись также экспертные оценки. Следует заметить, что длина статистического ряда у авторов этой модели незначительна, тем не менее, результат прогноза ВВП не хуже, чем в случае использования большего объема статистики.

Авторский прогноз динамики ВВП Украины на год (1999 г.) выполнен по простейшей эконометрической (трендовой) модели, построенной специальным образом на основе информации о динамике ВВП за 1990-1999 гг., т. е. за 10 лет. Условно эта функция получила название «антипарабола». Она имела вид:

ВВП = 1/(-0,0046t2 + 0,041t - 0,12) + 7, где t - год (1990 = 1, 1991 = 2,.. .,1999 = 10).

Хотя отчетная информация для составления перечисленных эконометрических моделей охватывала и продолжительные, и очень короткие периоды времени - это не дало желаемого результата. Использование для прогноза достаточно «длинных» временных рядов имеет как преимущества, так и недостатки. С одной стороны, уменьшаются требования к доверительному интервалу. С другой - экономика Украины претерпевала (в момент прогнозирования) качественный скачок, поэтому экстраполяция прежних количественных зависимостей на новый период развития экономики вряд ли можно считать приемлемым.

В целом следует отметить, что важнейший недостаток эконометрических моделей - построение их на базе отчетной информации. Вместе с тем достоинством таких моделей является описание показателей в их взаимосвязи. Это их основное преимущество перед экстраполяционным прогнозом, т.е. формируемым исходя из сложившейся динамики, тенденции.

Прогноз на основе МОБ. Прогноз Минэкономики. В последнее время Минэкономики уделяет значительное внимание применению МОБ в прогнозировании экономики на ближайший год. В частности, им разработаны «Методические рекомендации... » [8] на основе классической схемы МОБ. Основная особенность построения прогнозного МОБ на 2007 г. в соответствии с этими рекомендациями - определение коэффициентов прямых затрат (КПЗ) и конечного продукта (КП) методами экстраполяции и экспертными методами.

В частности, это относится к основному инструменту получения коэффициентов МОБ - к методу RAS. Матрица КПЗ (Аt+1) строится по данным прошлого или даже позапрошлого периода, т. е. по матрице (Аt) с помощью вектора (диагональной матрицы) Ri , которая характеризует изменение удельного веса продукции отрасли i на производство продуктов всех других отраслей и вектора Sj, характеризующего изменение удельного веса затрат предметов труда в отрасли j по формуле Аt+1 = Ri А Sj, где Ri и Sj для корректировки старых КПЗ получают экспертным путем. Причем эти векторы считаются постоянными для каждой строки и каждого столбца. Это означает, что если в одной отрасли происходит уменьшение каких-либо удельных затрат другой отрасли, то должно произойти такое изменение затрат и во всех других отраслях. Вряд ли такое же допущение оправданно. Имея это в виду, разработчики прогнозного МОБ на 2007 г. не особенно ему следовали. Об этом свидетельствуют данные табл. 2, составленной для больших КПЗ (>0,1).

Таблица 2

Динамика отдельных КПЗ за 2005-2007 гг.

Отрасль, год

Сельское хозяйство

Электро-энергетика

Строительство

Торговля

Транспорт и связь

Образование

Здраво-хранение

Обрабатывающая

             

промышленость

             

2005

0,14

0,08

0,44

0,05

0,11

0,08

0,21

2006

0,16

0,12

0,47

0,05

0,14

0,09

0,22

2007

0,18

0,10

0,51

0,05

0,13

0,11

0,25

Транспорт

             

2005

0,03

0,03

0,05

0,08

0,12

0,03

0,04

2006 2007

0,03 0,03

0,03 0,04

0,06 0,06

0,11 0,10

0,14 0,15

0,03 0,04

0,04 0,04

Действительно КПЗ обрабатывающей промышленности на продукцию сельского хозяйства, строительства, услуги образования и здравоохранения в 2007 г. по сравнению с 2006 г. возросли, а на продукцию электроэнергетики и транспорта -снизились. Таким образом, постоянства Ri в изменении КПЗ отчетного МОБ по отдельной строке не наблюдается. Кроме того, если допустить, что удельный вес промежуточного потребления в валовом выпуске не изменяется, то окажется, что Sj = ƒ(Ri), т.е. и корректировать нечего.

Исходя из методики построения матрицы RAS диагональные КПЗ (аii) не изменяются. Однако определять их на перспективу, видимо, следует так же экспертным путем, что может означать получение крайне недостоверных результатов.

Так как для прогнозирования МОБ на 2007 г. использовались данные МОБ за 2005 г., то и здесь возникают существенные расхождения. О достоверности отчетного МОБ за 2006 г. (в момент составления прогноза), вообще, не приходится говорить. Представляется необходимым сократить срок разработки отчетных МОБ хотя бы до 10 мес. При необходимости следует «пожертвовать» номенклатурой отраслей - сократить их количество. Это вполне возможно, если учесть, что в МОБ за 2005 г. присутствуют отрасли с небольшим объемом выпуска: так, из 38-ми отраслей выпуск 8 отраслей не превышает 0,3% общего объема валового выпуска (табл. 3).

Авторами методики [8] высказывается предположение о том, что если увеличить статистические ряды для прогнозирования (например, до 20 лет), то можно поправить положение, т. е. более точно получать КПЗ и структуру КП. По причинам, изложенным выше, представляется, что это не всегда так.

Таблица 3

Структура выпуска отраслей по отчетному МОБ Украины за 2005 г.

Отрасль (вид деятельности)

ВВП 2005 г.

млн. грн.

%

Лесное хозяйство

2358

0,2

Рыбное хозяйство

898

0,1

Газоснабжение

2752

0,2

Сдача в наем

1922

0,2

Деятельность в сфере информатизации

3274

0,3

Ассенизация, уборка улиц и обработка отходов

3179

0,3

Общественная деятельность

1577

0,1

Прочие виды деятельности

2406

0,2

Валовой выпуск всех отраслей

1146611

1,6

Прогноз по синтетическим эконометрическим и межотраслевым моделям. К ним можно отнести макроструктурную межотраслевую модель, использованную Ф.Н. Клоцвогом и Ю.В. Василенко [3], которая сформулирована как модель линейного программирования. Она включает 15 отраслей и 34 продукта промышленности и сельского хозяйства. Авторы отмечают, что «для формирования необходимых параметров модели исследовали динамику показателей за последние годы» [3, с. 113]. Каким методом оценивались параметры модели, не сказано. Можно предположить, что был использован регрессионный анализ. Но какие виды функций при этом использовались и за какой период использованы данные - неясно. О точности этого прогноза говорилось выше.

К такого типа моделям, видимо, следует отнести и динамическую оптимизационную модель анализа и прогнозирования финансовых потоков России на 2002-2011 гг., разработанную с участием В. Кулешова и В. Маршака [9]. Модель построена на основе информации Госкомстата России до 2002 г., т. е. в ее основе лежат отчетная информация и некоторые экспертные (достаточно произвольные) оценки авторов. Например, ими было принято, что удельные капиталовложения ежегодно растут на 2% (причем не обосновано, почему), размерность модели -443x499. Неплохая точность полученного прогноза нам представляется случайной.

Таким образом, числовые расчеты, выполненные на основе синтеза экономет-рических и межотраслевых моделей, которые, как и предыдущие, построены на базе отчетной информации, также дают низкую точность прогноза, несмотря на использование преимуществ обоих классов моделей.

Прогноз КМУ. Этот прогноз в какой-то степени основывается на вышеперечисленных методах прогнозирования с привлечением собственных расчетов, которые в основном используют динамику показателей и нормативы, а также экспертно учитывают резкие изменения в экономической политике.

Для экстраполяции КМУ в основном использует, судя по всему, один из методов Госплана - «от достигнутого». С этой целью почти во всех таблицах дается, как правило, динамика показателей (как объемных, так и удельных) за три периода, предшествующих прогнозируемому (иногда за более длительный период). Несомненно, такой подход является хорошим подспорьем для всякого рода прогнозных расчетов. По всей видимости, он использовался в Минэкономики при разработке «Прогноза экономического и социального развития Украины на 2007 г.». Между тем не следует забывать, что экономическая система в известной степени инерционна, и этим методом целесообразно пользоваться при прогнозировании, когда система переходит в фазу устойчивого развития.

Иногда прогнозисты-практики прибегают к нормативным методам, что является оправданным, поскольку нормативный показатель может быть устойчивым. Так, при разработке проекта Государственного бюджета Украины используются усредненные нормативы (например, норматив налога на прибыль). Также имеются таблицы для расчетов с помощью нормативов налогов за использование естественных ресурсов. Но все-таки связи между такими основными показателями прогноза развития Украины, как ВВП, объемы производства промышленной продукции, валовой продукции сельского хозяйства, фонд заработной платы, уровень безработицы, финансовый результат, иностранные инвестиции (при этом данные об отечественных инвестициях вообще не приводятся) в расчетных таблицах к Государственному бюджету Украины не просматриваются. Нормативы в явном виде не используются.

Как КМУ использует эконометрические модели и МОБ совершенно неясно, скорее всего - это информация «для размышления» или придания наукообразия своим расчетам. Можно только сказать, что если эти методы и используются, то достаточная точность прогноза при этом не достигается.

Напрашивается предложение: для повышения точности прогнозирования синтезировать экспертные и экстраполяционные методы, в которых сильны практики (благодаря знанию складывающейся экономической ситуации), с эконометрическими моделями и МОБ, дающими взаимосвязи показателей между собой с помощью систем уравнений и ограничений, и в построении которых накопили опыт научно-исследовательские институты. Вместе с тем представляется, что и этот синтез не обеспечит кардинального повышения точности прогноза, хотя и сблизит науку и практику прогнозирования. Существует, на наш взгляд, необходимость найти подходящие способы (методы) для повышения точности прогноза хотя бы на ближайшую перспективу.

Предлагаемый подход к повышению точности прогнозирования. Вертикальное прогнозирование - общие соображения. Одним из путей повышения точности прогноза является, по нашему мнению, представление в Минэкономики данных от министерств и ведомств о спросе и предложении по отраслям или видам экономической деятельности, отдельным товарным группам продукции в укрупненной номенклатуре с целью составления прогнозных материальных и финансовых балансов по схеме МОБ. Министерства и ведомства в свою очередь должны получать соответствующую информацию от крупных субъектов (объединений) экономики (акционерные общества, холдинги, корпорации, концерны и т. п.). Другими словами, в составлении прогнозов на уровне Минэкономики следует задействовать всю вертикаль управления экономикой: «Минэкономики - отраслевые министерства -объединения - предприятия». Поскольку экономика все время в движении, описывается огромным количеством уравнений (ограничений) и еще большим количеством переменных (т. е. является системой большой размерности), а также характеризуется динамичностью и стохастичностью взаимозависимостей, то представление прогнозов «наверх» должно быть итеративным процессом с многократным взаимным обменом информацией между уровнями управления экономикой.

Конечно, к прогнозам нижестоящих уровней управления не следует относиться как к идеальным. Но они могут быть полезными при согласовании планов объединений (корпораций) между собой.

Такой подход требует известных изменений в законодательстве относительно механизма прогнозирования, в частности, Закона «О государственном прогнозировании и разработке программ экономического и социального развития Украины» [10].

Так как в настоящее время 50% основных фондов народного хозяйства Украины приватизировано, то определенные трудности могут возникнуть с получением необходимой информации. Обычно ссылаются на то, что предприятия имеют право на коммерческую тайну. Но в интересах общества в целом этой тайной можно поступиться. Представляют же в настоящее время предприятия всех форм собственности в Госкомстат практически любые отчетные данные по его запросу. Решение вопроса о предоставлении прогнозов спроса и предложения по всей вертикали управления и в конечном счете сосредоточении их в Минэкономики требует принятия необходимых законодательных решений.

Иногда говорят - такого нигде нет в мире. Но, во-первых, аналогия - не доказательство. Во-вторых, органы ЕС в ряде отраслей проводят не только согласование объемов и направлений инвестиций, но и определяют квоты на производство отдельных продуктов [11]. Это даже не прогнозирование, а государственное планирование. Особенно жестко регулируется в ряде стран производство сельскохозяйственной продукции. Например, в США в Министерстве сельского хозяйства определяются даже посевные площади под отдельные виды культур [12]. Известны шаги в этом направлении и в России, хотя лишь в отдельных регионах. Так, под руководством Ф.Н. Клоцвога [13] разработаны материальные и финансовые балансы по Республике Татарстан, в которых используется информация более низких уровней управления.

Есть и такое возражение: предложение автора - это возврат к старой системе планирования. Это не совсем так. В действительности, предлагается совместить сильные стороны планирования при старой системе - итерационные расчеты планов «снизу-вверх» и «сверху-вниз» - с современными рыночными механизмами. Заметим, что в соответствии с теорией оптимального планирования это возможно, оперируя например, с помощью методов декомпозиции, методов Данцига-Вульфа [14]. Используя их, можно организовать итерационный процесс согласования спроса и предложения по продукции межотраслевого назначения, в частности, с помощью средних цен или их индексов по отраслям и группам продукции, которые будут прогнозироваться в Минэкономики на основе их небалансов (дефицита или избытка продукции). Заметим, что принятый в последнее время закон «Об управлении объектами государственной собственности» сосредоточивается на этом же направлении: государственные предприятия должны составлять как финансовые, так и инвестиционные планы и представлять их в центральные органы управления. Но кроме этих планов, для согласования материально-вещественных пропорций необходимо, чтобы предприятия предоставляли информацию о производстве и потреблении продукции, что позволит Минэкономики составлять материальные балансы во взаимосвязи с финансовыми. Это даст возможность выявить перспективную картину в производстве и распределении продукции и принять необходимые упреждающие меры. Причем согласование материальных и финансовых балансов должно происходить не однократно, а представлять собой итерационный процесс.

Иногда утверждается, что прогноз в настоящее время составляется только в Минэкономики и отсутствует в акционерных обществах (корпорациях, объединениях). Это не так. Практика свидетельствует, что без планов и прогнозов фирма не может развиваться. Приведем примеры, констатирующие наличие не только прогнозирования, но и планирования (бизнес-планов) на нижних этажах управления экономикой Украины. Так, на Луцком подшипниковом заводе «СКФ Украина»: «предприятие планирует к 2011 г. увеличить выпуск продукции в 3,5 раза» [15]; на «Запорожстали»: «перспективными планами предусматривается реконструкция аглофабрики, доменной печи №5 ...» [16]; на Мариупольском комбинате им. Ильича: «... сформированы планы на 5 лет вперед» [17]. Министр агропромышленного комплекса Ю. Мельник заявил: «Правительство определило размеры квот на производство сахара для потребителей внутреннего рынка» [18].

На базе прогнозов министерств и организаций Минэкономики нетрудно будет составить экономико-математическую модель, например, для прогноза на год.

В общем виде математическая модель на основе информации министерств и корпораций может быть представлена следующим образом: Найти минимум суммарного дефицита:

где i, j - отрасли, м - министерства, ведомства и крупные акционерные общества, v - варианты; z - индекс цен или средние цены; Хум(£) - вектор затрат, Х,м(£) - вектор выпуска, Y - конечный продукт (без импорта), D, - дефицит (избыток), I - импорт; им - удельный вес, с которым вариант министерства (корпорации) входит в прогноз Минэкономики (неизвестен).

Числовой пример для двух отраслей.

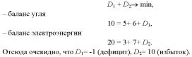
Отрасль №1 (например, угольная) определила некоторый вариант вектор затрат- выпуска, например, на следующий год: производство угля - 10 млрд. грн. и потребность в электроэнергии - 3 млрд. грн. Отрасль №2 (например, энергетика) определила соответственно: производство электроэнергии - 20 млрд. грн. и потребность в угле - 5 млрд. грн. Эти данные сообщены Министерству экономики, которое с учетом конечного продукта, в том числе с учетом сальдо экспорта-импорта угля 6 млрд. грн. и электроэнергии - 7 млрд. грн., составляет следующую систему балансовых уравнений:

- целевая функция: минимум суммарного дефицита и избытка продукции

В простейшем случае от каждого министерства (корпорации) может быть получен только один вариант (см. пример). При наличии нескольких вариантов модель, хотя несколько усложняется, но становится более гибкой. В этом случае при выявлении дефицита на какую-либо продукцию из модели очевидно, на сколько повысить (или наоборот снизить) прогнозируемые (ожидаемые) цены и сообщить эту информацию «вниз», пока не будет достигнуто приемлемое равновесие между спросом и предложением продукции. Математически такая схема оптимизации (балансировки) решается, например, в рамках градиентных методов.

В Минэкономики целесообразно балансировать спрос и предложение только межотраслевой и межрегиональной продукции (имеющей неустойчивые связи) в укрупненном выражении; для согласования прогнозов в укрупненной и детальной номенклатуре могут быть использованы методы агрегирования и дезагрегирования. Так как министерства (корпорации) могут достаточно часто уточнять свои варианты прогнозов, то необходимо процесс совместного прогнозирования министерствами (корпорациями) и Министерством экономики организовать в диалоговом итеративном режиме. Этот процесс упрощается в настоящее время благодаря наличию Интернета, быстрых и надежных компьютеров. Другими словами, путь к сочетанию плана и рынка на основе теории оптимального планирования и современной вычислительной техники открыт. Дело за практикой.

Вообще, полезно иметь в виду следующее высказывание лауреата Нобелевской премии П. Самуэльсона: «Обогащенная государственным планированием и макроэкономическим контролем экономика сможет лучше функционировать, чем капитализм прошлой эпохи или коммунизм»[19, с. 682].

Этапность разработки схемы вертикального прогнозирования. На первом шаге вертикального прогнозирования целесообразно осуществить только оценку сбалансированности экономики. Для этого Минэкономики следует просто сложить прогнозы спроса и предложения, полученные «снизу» и в необходимых случаях добавить прогнозы экспорта и импорта по отраслям (укрупненным видам продукции) или уточнить цифры прогноза министерств (корпораций), т. е. составить прогнозные балансы. С их помощью можно выявить прогнозный дефицит (избыток) по отдельным группам продукции.

В этом случае станет ясной общая картина состояния рынка на ближайший год, а именно: по каким видам продукции необходимо ограничить или стимулировать экспорт и импорт (например, повышением или понижением пошлин), каким производителям давать льготы и какие налоги снижать (повышать), какие государственные программы развития экономики должны быть приоритетными, на какие виды продукции следует изменить цены (если они регулируются государством) или ввести (повысить или понизить) пошлины и т. п.

По нашему мнению, следует начать составление таких вертикальных прогнозов баланса спроса и предложения по схеме МОБ на ближайший год и по номенклатуре отраслей, видов экономической деятельности или даже отдельных видов продукции, по которым в настоящее время в Минэкономики разрабатываются отчетные и прогнозные балансы. Это, видимо, прежде всего продукция Минтопэнерго, Минуглепрома, Минагропрома. В частности, это относится к нефти, бензину автомобильному, мазуту топочному, топливу дизельному, газу природному, углю, электроэнергии. Эти балансы уже сейчас разрабатываются отраслевыми министерствами и передаются Минэкономики. Затем к общей прогнозной схеме следует подключить и другие министерства. Например, по Министерству промполитики особенно важны балансы на отдельные виды продукции машиностроения: различное оборудование, автомашины, суда, самолеты, комбайны, вычислительная техника и др. В большом прорыве находится и легкая промышленность, требующая защиты отечественного производителя и определения вариантов ее развития. Другими словами, разработка вертикальных балансов позволит предметно и комплексно прорабатывать вопросы структурной перестройки экономики и ее инновационного развития. Также можно будет предметно говорить о защите отечественного производителя, зная возможный (ожидаемый) импорт и собственные прогнозы по производству, согласовывая государственные программы между собой.

Таким образом, первый шаг позволяет только выявить дефициты (избытки) укрупненных видов продукции, т. е. получить общую картину состояния спроса и предложения и предварительно наметить возможные меры по ликвидации несбалансированности.

На втором шаге вертикального прогнозирования можно перейти от констатации факта дефицита (избытка) продукции в Украине к его косвенному регулированию с помощью изменения (уточнения) таких управляемых параметров экономики, как пошлины, квоты, льготы, объемы финансирования приоритетных программ, цены (контролируемые государством).

Вначале следует обработать уже имеющуюся экономическую статистику и получить ответ, например, на вопрос: на сколько процентов возрастет (уменьшится) размер экспорта (импорта), если на 1% уменьшится (увеличится) пошлина. Данных для этого достаточно, так как в последнее время пошлины менялись довольно часто. Более сложно оценить количественное влияние льгот (например, в свободных экономических зонах) и налогов на объемы производства. Но и это возможно силами экономических институтов (как академических, так и ведомственных). Главное - начать такую работу систематически по отраслям (видам экономической деятельности и товарным группам) и проводить ее комплексно.

Дальнейшие перспективы - в разработке взаимосвязанной (целостной) системы материальных и финансовых балансов на основе МОБ (не ограничиваться только отдельными материальными балансами). Основа для этого уже есть - это отчетные и прогнозные МОБ примерно для 40 отраслей (видов деятельности), которые составляются сейчас Госкомстатом и Минэкономики в целом по Украине. Их следует постепенно развернуть в межпродуктовый баланс по продукции межотраслевого и межрегионального (межобластного) назначения. Номенклатура таких продуктов может достичь несколько сотен позиций. Постепенно можно приступить к составлению среднесрочных перспективных планов. Система МОБ и межпродуктовых балансов позволит отслеживать не только прямые отраслевые и продуктовые связи, но и обратные, что особенно важно при определении перспектив развития экономики, объема необходимых инвестиций и направлений их вложения. Это даст возможность приблизиться хотя бы к индикативному планированию, что позволит превратить прогнозы из пассивного в активное средство управления экономикой. Этот шаг возможен только после соответствующей корректировки закона о прогнозе [10].

Конечно, перейти от отчетных МОБ к прогнозным на основе вертикальной схемы получения информации, и сделать это достаточно оперативно (в диалоговом режиме) - дело непростое, хотя в условиях современного развития Интернета решение этой задачи значительно упрощается.

Заметим, что основные идеи такого подхода были заложены еще В.М. Глушковым при разработке Единой государственной системы передачи данных (ЕГСПД) и Диалоговой системы планирования («Дисплан») [20] и на основе межпродуктового баланса по нескольким тысячам укрупненных групп продукции. Статическая математическая модель «Дисплана» имеет следующий вид:

а) балансы продукции AX+C=X,

б) ограничения по мощностям и другим ресурсам BX< = b,

где X — неизвестные объемы производства, A(B) - матрица КПЗ затрат одних видов продукции (ресурсов) на другие (заданы), C - вектор конечной продукции (задан), b - вектор ресурсов (задан).

Для достижения заданного конечного продукта В. М. Глушковым предлагалось последовательно корректировать значения матрицы А(В), а если это не даст результата, то корректировать C (т. е. конечный продукт).

Экспериментальная модель, составленная в Институте кибернетики АН УССР, включала около 1 тыс. продуктов. Впервые она была реализована на ЭВМ БЭСМ с вводом исходной и выводом результирующей информации на экран дисплея - это в далекие 70-е годы ХХ в. Упрощенный ее вариант в виде подмодели «сельское хозяйство - пищевая промышленность - торговля», состоящей из 170 соотношений (уравнений и ограничений) и 220 переменных [21], был реализован на информации Госплана УССР и продемонстрирован на удаленном дисплее Госплана УССР. Главной проблемой тогда оказалось организовать устойчивую работу ЭВМ и удаленного дисплея в Госплане УССР. Система работала медленно с постоянными сбоями и перезагрузками. Современный Интернет и сверхнадежные, быстрые с большой памятью современные персональные ЭВМ (компьютеры) могли бы тогда позволить при наличии «вертикали» в планировании и прогнозировании сделать значительный шаг в совершенствовании хозяйственного механизма управления экономикой. Сейчас есть Интернет и великолепная вычислительная техника, но нет «вертикали».

Чтобы не слишком усложнить разрабатываемую систему балансов следует на каждом шаге подводить итоги: каковы затраты на составление балансов и на сколько процентов они точнее (по сравнению с существующими прогнозами), какой экономический эффект они дают, например, по сравнению с трендовыми (экстраполяционными) прогнозами.

По нашему мнению, назрела необходимость введения в Минэкономики системы вертикального балансового прогнозирования, основывающейся на данных (вариантах) спроса и предложения, поступающих от министерств (корпораций). При этом предлагается использовать методы балансировки спроса и предложения сначала с помощью таких регулируемых параметров, как налоги, пошлины, квоты, и распределять государственные финансовые ресурсы в рамках государственных программ. Затем можно переходить к балансировке спроса и предложения на основе индексов (средних) цен по укрупненным видам продукции. Начать можно с оценки прогнозируемого дефицита (избытка) продукции (разницы между спросом и предложением) на ближайший год, постепенно переходя к регулированию ключевых параметров экономики, а затем к индикативному планированию и даже к планированию по предприятиям государственной собственности.

Методическим средством может быть МОБ в вариантной постановке с привлечением эффективных макроструктурных моделей, а техническим — Интернет с разветвленной сетью компьютеров, позволяющих оперативно корректировать прогнозы, разрабатываемые министерствами (корпорациями).


Литература

1. Панасюк Б.Я, Сергиенко И, Гуляницкий Л. Прогнозирования развития экономики Украины // Экономика Украины, 1996, № 1.

2. Панасюк Б.Я. Мистецтво управляти — дивитися вперед // Урядовий кур 'єр, 22.11. 06.

3. Клоцвог Ф.Н., Василенко Ю.В. Влияние внешнеэкономической ориентации Украины на перспективы развития ее экономики. М.: Внешнеэкономические связи, 1998.

4. Мельничук В. Не наступим ли снова на грабли? //Голос Украины, 17.9.96.

5. Секторальні моделі прогнозування економіки України / За редакції акад. НАН України Гейця В.М. К.: Феникс, 1999.

6. Архангельский Ю.С. Прогнозирование объемов производства на основе макроэкономических моделей и межотраслевого баланса на ближайший год // Экономика Украины. 2000. № 6.

7. Архангельский Ю.С. Прогнозирование объемов производства отраслей народного хозяйства // Экономико-математические методы. 1996. № 3.

8. Методичні рекомендації з прогнозування показників таблиць «витрати-випуск» (між-галузевого балансу). К.: Мінекономіки України, 2005.

9. Кулешов В., Маршак В. Моделирование роста российской экономики // Вопросы экономики. 2006. № 12.

10. Закон Украины «О государственном прогнозировании и разработке программ экономического и социального развития Украины»//Ведомости ВР Украины. 2000. № 25.

11. Пебро М. Международные экономические, валютные и финансовые отношения. М.: Прогресс, 1994.

12. Назаренко В., Шмелев Г. Государственная политика в аграрной сфере //Вопросы экономики. 1996. № 9.

13. Клоцвог Ф.Н. Разработка и экспериментальные расчеты макроструктурной модели субъекта федерации на примере республики Татарстан. Научный отчет лаборатории за 2003 год. М.: ИНП РАН, 2003.

14. Данциг Дж. Линейное программирование, его применения и обобщения. М.: Прогресс, 1966.

15. Мельник В. «Луцькі підшипники в світовій еліті» // Урядовий кур'єр, 3.4.07.

16. «Запоріжсталь» модернизуеться // Урядовий кур 'єр, 27.3.07.

17. Кущ И. (интервью с Тернавским Ю.) Мы являемся визитной карточкой нашего предприятия // Голос Украины, 24.3.07.

18. «Планування ринку не завада» // Урядовий кур 'єр, 22.3.07.

19. Samuelson P. Economics. 10-th edition, Tokio, 1989.

20. Глушков В. М. О методике текущего планирования в системе Госплан-министерства. Киев: ИК АН УССР, 1975.

21. Матвеев М.Т., Архангельский Ю.С. и др. Модели АСПР Госплана республики. Киев: Наукова думка, 1988.