Экономика » Анализ » О государственном регулировании нефтегазового комплекса

О государственном регулировании нефтегазового комплекса

Рубрика - Анализ

Трофимов С.Е.


Для повышения качества государственного регулирования нефтегазового комплекса (НГК) необходимо разработать научно обоснованные национальные программы, согласовать действия отдельных ведомств, демонстрировать прагматизм при заключении международных нефтегазовых контрактов, отстаивать национальные энергетические интересы на международной арене и др. По мнению А. Л. Кудрина и Е. Т. Гурвича, «нельзя сказать, что значительные ресурсы, направленные на модернизацию экономики (в виде госинвестиций, расходов на создание институтов развития, предоставления различных субсидий и т. п.), дали осязаемые результаты, поскольку характеристики международной конкурентоспособности не улучшились. Это ставит под сомнение возможности „ресурсного подхода" создавать условия для долгосрочного роста экономики» (Кудрин, Гурвич, 2014. С. 16—17).

Сложившаяся в России до кризиса 2014—2016 гг. хозяйственная практика привела к высокой ресурсной зависимости отечественной экономики, жесткой привязке национальной валюты к мировым ценам на нефть, что дает основания говорить о «ресурсном проклятии» страны (см., например: Хамфрис и др., 2011; Кудрин, 2013; Фетисов, 2006). В результате любые кризисные явления на мировом энергетическом рынке сказывались на экономическом состоянии России.

Внешнеполитические вызовы и угрозы делают объективно необходимой структурную перестройку отечественного производства. Ключевую роль в этом может сыграть государственное регулирование, в том числе за счет использования нового инструментария или новых экономических доктрин.

Отметим, что среди ученых нет единства мнений относительно сущности государственного регулирования экономики. Такое регулирование должно рассматриваться в качестве институционального средства, дополняющего действие рыночного механизма, который в чистом виде уже не может решить всех производственных задач, стоящих перед национальной экономикой. Исходя из этого, государственное регулирование экономики представляет собой деятельность государственных институтов, направленную на принятие, реализацию и контроль за выполнением нормативных актов с применением специфических методов, форм и инструментов воздействия на структуру производства. Цель этой деятельности — устранить или смягчить недостатки рыночного механизма (market failures) и найти источники устойчивого развития экономики.

Государственное регулирование экономики, в том числе НГК, с позиций системно-функционального подхода осуществляется посредством методов, форм и инструментов воздействия на хозяйствующие субъекты. Под методами государственного регулирования мы понимаем способы прямого (административного) или косвенного (экономического) воздействия на предприятия с целью создать условия для устойчивого развития национального производства, повысить эффективность его функционирования и уровень жизни населения. Однако данная классификация содержит определенную долю условности, так как многие элементы регулирования в той или иной степени относятся как к прямым (административным), так и к косвенным (экономическим) методам, например налоговая политика.

В отличие от методов государственного регулирования, разграничение по формам носит менее условный характер и представляет ключевые направления централизованной экономической политики в различных сферах воздействия на хозяйствующие субъекты на микро-, мезо- и макроуровне. Все формы государственного регулирования тесно взаимосвязаны. Однако значение каждой из них может существенно меняться в зависимости от конкретных макроэкономических целей.

Инструменты государственного регулирования содержатся в норма-тивно-правовой базе. Она предоставляет конкретные административные и экономические рычаги, с помощью которых можно непосредственно или опосредованно централизованно воздействовать на хозяйствующие субъекты, чтобы они в принудительном порядке или добровольно функционировали в соответствии с общенациональными интересами. Так, в качестве инструментов денежно-кредитной политики выступают не только ключевая ставка Банка России или объем денежной массы, но и в определенной степени привязка российского рубля к мировым ценам на нефть, а таможенно-тарифное регулирование связано со специфическими инструментами, к числу которых относятся квоты и таможенные пошлины, в том числе на вывозимое углеводородное сырье.

Государственное регулирование нефтегазового комплекса

Эффективное государственное регулирование нефтегазового комплекса должно способствовать росту социально-экономических показателей страны, повышению уровня и качества жизни населения, улучшению инвестиционной привлекательности России. Однако его масштабы не могут быть одинаковыми на различных этапах социально-экономического развития страны и зависят от конкретных обстоятельств, в том числе геополитического характера.

Государственное регулирование НГК РФ направлено на решение следующих задач:

  • контроль за выполнением основных хозяйственных решений ведущих нефтегазовых компаний, включая заключение международных соглашений о строительстве производственных и инфраструктурных мощностей, формирование и отслеживание транспортно-логистических цепочек крупнейших маршрутов поставок;
  • обеспечение энергетической безопасности страны;
  • регулирование системы сбыта на основе принятия решений, обеспечивающих полное снабжение населения страны углеводородным продуктом;
  • контроль за необоснованным завышением цен на продукты нефте-и газопереработки на внутреннем рынке;
  • обеспечение населения необходимой информацией о производимом углеводородном продукте и его качестве;
  • регулирование денежно-кредитной системы для обеспечения бесперебойного доступа компаний НГК к свободным финансовым ресурсам;
  • повышение эффективности функционирования отечественного НГК за счет содействия его инновационному и инвестиционному развитию;
  • совершенствование законодательной базы регулирования нефтегазовой отрасли;
  • повышение стандартов качества производимой углеводородной продукции для потребления на внутреннем рынке и увеличения удельного веса конечной продукции в экспортных операциях;
  • совершенствование налогово-бюджетной политики, позволяющей стимулировать производственный и инвестиционный потенциал компаний НГК.

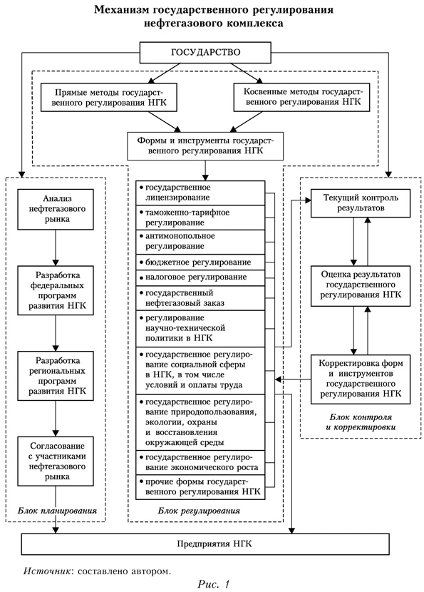
В целом механизм государственного регулирования НГК, на наш взгляд, можно представить в виде взаимодействия трех блоков (рис. 1):

  • блок планирования, включающий деятельность государственных институтов, направленную на изучение нефтегазового рынка (в том числе внешнего), разработку федеральных и региональных энергетических программ с последующим их согласованием с нефтегазовыми предприятиями;
  • блок регулирования, с помощью которого осуществляется прямое или косвенное воздействие на предприятия НГК с применением определенных форм и инструментов государственного регулирования;
  • блок контроля и корректировки, призванный проверять добывающие предприятия на соответствие лицензионным, нормативным и экологическим требованиям, а также при необходимости вносить изменения в формы и инструменты государственного регулирования НГК.

Механизм государственного регулирования нефтегазового комплекса

Механизм государственного регулирования НГК после распада СССР претерпел значительные изменения: произошел переход от полной государственной монополии в рамках всего энергетического комплекса к созданию государственной монополии в газовом секторе в виде ОАО «Газпром» и к передаче значительной части активов нефтяной отрасли в руки частного капитала. На современном этапе механизм государственного регулирования отечественного НГК, на наш взгляд, имеет ряд недостатков:

  • монополизация производства и низкий уровень внутриотраслевой конкуренции;
  • научно-техническое и технологическое отставание отечественного нефтегазового сектора от нефтедобывающих стран с развитой рыночной экономикой и соответственно более низкий уровень производительности труда;
  • низкий коэффициент извлечения углеводородного сырья по сравнению с развитыми нефтедобывающими странами;
  • высокий уровень лоббирования интересов финансово-промышленных групп, связанных с НГК;
  • в отдельных случаях неэффективное инвестирование накопленных нефтегазовых доходов;
  • недостаточная гибкость налогового регулирования;
  • относительно слабые экологозащитные мероприятия, особенно в районах Сибири и Дальнего Востока.

Одной из основных проблем функционирования российского НГК выступает более низкая, чем в развитых нефтедобывающих странах, нефтеотдача пластов. В настоящее время отечественные компании практически незаинтересованы в добыче углеводородов на этапе истощения месторождений, то есть для бизнеса намного выгоднее «снимать сливки» с действующих месторождений, при этом постоянно разрабатывая новые перспективные участки. В частности, Ю. А. Станкевич отмечает: «Сегодня мы наблюдаем отставание России от таких лидеров нефтяной отрасли, как США и Норвегия, по коэффициенту извлечения нефти. В США этот показатель составляет 43%, в Норвегии — свыше 50%, а в России — около 20%. Только увеличение коэффициента до уровня 43% могло бы дать российским нефтяникам около 4 млрд т извлекаемых запасов традиционной нефти»1.

Методика расчета ренталс

Для повышения эффективности разработки месторождений полезных ископаемых в механизм государственного регулирования НГК России, на наш взгляд, следует включить такой инструмент, как ренталс, который успешно используют в развитых нефтедобывающих странах, в частности в Норвегии, США и др. Ренталс — это ежегодный платеж инвестора за пользование единицей площади участка недр, выплачиваемый на определенных условиях собственнику участка, в качестве которого обычно выступает государство, получающее в течение срока действия контракта или договора доход, как правило не зависящий от объема добытого сырья и рентабельности производства.

В США действует дифференцированная система ставок ренталс в зависимости от природно-климатических и естественных условий извлечения углеводородов: чем сложнее условия добычи, тем ниже ставки ренталс, и наоборот. При этом средний размер ставок составляет около 10 долл./акр. Данный инструмент государственного регулирования сохраняет за собственником право пользования участком недр и обеспечивает дополнительные поступления в федеральный бюджет (Панчева, 2015. С. 29). Аналогичная дифференцированная система ставок ренталс существует в Великобритании.

В России ренталс не применяется, и его значение с точки зрения повышения эффективности производства в нефтегазовом секторе экономики недооценивается. Это связано, на наш взгляд, с несовершенством механизма государственного регулирования отечественного НГК, а также с игнорированием передовых зарубежных методов управления производством, доказавших свою эффективность в течение длительного времени. Мы предлагаем перейти к использованию ренталс на практике и представляем методику его расчета для нефтегазовых предприятий, занятых разведкой и разработкой углеводородных запасов. Для этого следует применять регрессивную ставку ренталс до полного промышленного освоения месторождения, которое предполагает вывод нефтегазового предприятия на проектную мощность2.

По расчетам специалистов, геолого-разведочные работы в Арктике занимают в среднем два года, промысловое обустройство месторождения длится около пяти лет, то есть промышленная добыча углеводородного сырья возможна только спустя примерно семь лет и достигает пика еще через четыре года (Базалева, Казначеев, 2015. С. 117). Следовательно, полное освоение нефтегазового месторождения на арктическом шельфе происходит в среднем за 10—11 лет.

Для расчета ренталс мы предлагаем использовать максимальную 100-процентную ставку с момента получения лицензии нефтегазовым предприятием на разработку углеводородного месторождения и до конца его промыслового обустройства. В дальнейшем ставка жестко привязывается к объему извлекаемых углеводородов: с начала промышленной добычи должно происходить ее ежегодное регрессивное снижение обратно пропорционально росту объема извлекаемого сырья. На этапе полного промышленного освоения месторождения ставка ренталс устанавливается на нулевой отметке. Если руководство нефтегазовых корпораций поймет, что разработка каждого нового лицензионного участка автоматически приводит к необходимости уплачивать дополнительные платежи в течение длительного периода, то возникнет мощный стимул для повышения нефтеотдачи на уже используемых углеводородных участках. Кроме того, вывод нефтегазовых месторождений на проектную мощность будет происходить быстрее. При этом обратно пропорциональная зависимость между объемом добываемого углеводородного сырья и размером ставки ренталс, на наш взгляд, оптимальна, так как она не только стимулирует рост эффективности производства в НГК, но и существенно упрощает экономические расчеты.

Кроме того, следует учитывать, что добыча углеводородов ведется на обширных территориях и акваториях, в различных природно-климатических и естественных условиях, на неодинаковой глубине залегания, а в отношении шельфовых месторождений должны приниматься во внимание также расстояние до береговой линии, ледовая обстановка и другие факторы. Поэтому относительное равенство возможностей функционирования достигается только за счет дифференцированного подхода к добывающим предприятиям. В связи с этим в зависимости от условий добычи углеводородного сырья мы предлагаем все предприятия НГК разделить на три группы:

  • предприятия, функционирующие на арктическом шельфе и в условиях Крайнего Севера (экстремальные условия добычи);
  • предприятия, функционирующие в труднодоступных районах Сибири и Дальнего Востока, а также на континентальном шельфе, не относящемся к арктическому (сложные условия добычи);
  • все оставшиеся предприятия (относительно благоприятные условия добычи).

Нефтегазовые предприятия, желающие добывать углеводородное сырье, в том числе в экстремальных условиях, нельзя полностью освобождать от уплаты ренталс до вывода месторождений на проектную мощность. В противном случае они будут стремиться «захватить» как можно больше лицензионных участков, разработка которых может быть отложена на длительный срок.

Поскольку отечественные предприятия НГК добывают углеводороды на территории от Каспийского моря до Арктики и от Балтики до Охотского моря, введем в методику расчета ренталс дифференцирующий коэффициент (Кдиф), который будет носить не фиксированный характер, а иметь определенный вариационный размах в пределах вышеуказанных групп3. Мы предлагаем устанавливать максимальное значение Кдиф для нефтегазовых предприятий, осуществляющих свою деятельность в относительно благоприятных условиях добычи, а по мере их усложнения данный коэффициент должен снижаться. Общий размер ренталс для п лицензионных участков составит:

Экономический алгоритм взимания ренталс на отдельно взятом лицензионном участке

Предприятие по итогам аукциона получило в долгосрочную аренду лицензионный участок. Проведенные ранее в его пределах геолого-разведочные и научно-исследовательские работы привели к открытию нефтяного месторождения, которое можно осваивать в промышленных масштабах. С момента получения государственной лицензии на право пользования участком недр и приобретения статуса недропользователя нефтегазовая компания обязана уплачивать ренталс по 100-процентной ставке (Стрент). После проведения предприятием дополнительных геолого-разведочных работ и уточнения разведанных запасов углеводородов на данном месторождении проектная мощность, в обязательном порядке сертифицируемая государством, составила: ПМi тыс. т/год.

Во время проведения геолого-разведочных и буровых работ, а также промыслового обустройства месторождений предприятие продолжает уплачивать ренталс по 100-процентной ставке. Учитывая стимулирующий характер ренталс и регрессивный характер снижения с момента начала добычи нефти до полного промышленного освоения месторождения, годовые ставки ренталс будут изменяться по формуле:

Стрентi,j = Стрент х Кдифi х (ПМi - ФДi,j)/ПМi, (2)

где:

Стрентi,j — ставка ренталс i-го нефтегазового месторождения в j-ом году освоения;

ПМi — среднегодовая проектная мощность добычи нефти на i-ом месторождении;

ФДi,j — фактическая добыча нефти на i-ом месторождении в j-ом году освоения.

Следовательно, при выходе предприятия на проектную мощность, то есть когда ФДi,j = ПМi ставка ренталс устанавливается на нулевой отметке.

Ренталс дает дополнительную налоговую нагрузку для нефтегазовых предприятий, на балансе которых стоят значительные по площади неразрабатываемые или освоенные в неполном объеме лицензионные участки, что стимулирует их скорейший вывод на проектную мощность. Принципиальные отличия нашей методики расчета ренталс от налога на дополнительный доход (НДД) заключаются в следующем:

  1. во-первых, ренталс выступает дополнительным платежом, призван служить альтернативой НДД и носит обязательный, а не добровольный характер;
  2. во-вторых, предлагается ввести регрессивные ставки ренталс до полного промышленного освоения нефтегазовых месторождений, что стимулирует повышение нефтеотдачи пластов и научно-технический прогресс в нефтедобывающей сфере. В свою очередь, в пилотном проекте НДД для новых месторождений предусмотрены льготные налоговые условия: льготный период по уплате НДПИ, перенос убытков текущего периода на будущие периоды, а также учет исторических убытков для новых месторождений новых регионов нефтедобычи;
  3. в-третьих, при расчете ренталс предлагается использовать для всех месторождений дифференцирующий коэффициент, позволяющий учитывать различные условия добычи углеводородов, с целью повысить эффективность недропользования. В настоящее время НДД распространяется только на 4 группы месторождений (новые месторождения в Восточной Сибири с выра-ботанностью менее о/о', месторождения, пользующиеся льготой по экспортной пошлине; действующие месторождения в Западной Сибири с выработанно-стью от 10 до 80% (квота не более 15 млн т в год по фактическим заявкам компаний); новые месторождения в Западной Сибири с выработанностью менее 5% с совокупными запасами не более 50 млн т в год)4;
  4. в-четвертых, при расчете дополнительных доходов бюджета от введения ренталс предлагается использовать инвестиционную льготу при увеличении добычи на континентальном шельфе за счет внедрения новейших технологий, что приобретает особую актуальность в условиях санкционной политики западных стран в отношении России;
  5. в-пятых, если для исчисления ренталс базой служит площадь лицензионного участка, то для НДД — расчетная выручка от операционной и инвестиционной деятельности по разведке и добыче углеводородного сырья на лицензионном участке, уменьшенная на величину фактических расходов, НДПИ, экспортной пошлины, транспортных расходов и др. при налоговой ставке 50%.

Внедрение регрессивной ставки ренталс в механизм государственного регулирования НГК в России, на наш взгляд, позволит:

  • ускорить вывод нефтегазовых месторождений на проектную мощность;
  • повысить коэффициент нефтеотдачи пластов, способствуя более полному извлечению углеводородов на существующих месторождениях;
  • стимулировать научно-технический прогресс, участие нефтегазовых предприятий в новых наукоемких инвестиционных проектах;
  • уменьшить коррупционную составляющую, связанную с лоббированием интересов добывающих компаний при получении лицензий на разработку новых месторождений;
  • снизить экологическую нагрузку, содействовать более бережному отношению к окружающей среде в районах добычи, особенно к северной природе;
  • в течение срока полного промышленного освоения месторождения получать дополнительный источник бюджетных поступлений.

На современном этапе развития рыночных отношений в России требуются новые подходы к государственному регулированию экономики. Внедрение ренталс в механизм государственного регулирования НГК не только будет способствовать повышению эффективности энергетического сектора страны, но и станет существенным источником дополнительных бюджетных поступлений.


1 www.burneft.ru/main/news/9284

2 Под проектной мощностью месторождения мы понимаем определенную проектом максимально возможную добычу полезных ископаемых установленного качества в единицу времени. Для ее определения требуется независимая внешняя экспертиза.

3 В данной статье мы не ставим задачу рассчитать дифференцированные коэффициенты ренталс в зависимости от условий добычи углеводородного сырья, так как это тема отдельного исследования, которое предполагает не только экономические, но и природно-климатические, геологические и технические обоснования.

4 Доклад министра А. Новака по вопросу введения НДД на совещании «О развитии нефтяной отрасли в Российской Федерации» под руководством Председателя Правительства РФ Д. А. Медведева, www.minenergo.gov.ru/node/9897


Список литературы / References

Базалева Р. В., Казначеев П. Ф. (2015). Освоение арктического шельфа (Регулирование и налогообложение нефтяных компаний в США, России и Норвегии) // Экономическая политика. Т. 10, № 2. С. 110 — 132. [Bazaleva R. V., Kaznacheev Р. F. (2015). Arctic offshore exploitation (Regulatory and tax regimes for oil companies in the USA, Russia and Norway). Ekonomicheskaya Politika, Vol. 10, No. 2, pp. 110-132. (In Russian).]

Кудрин A. (2013). Влияние доходов от экспорта нефтегазовых ресурсов на денежно-кредитную политику России // Вопросы экономики. № 3. С. 4 — 19. [Kudrin А. (2013). The influence of oil and gas exports on Russia's monetary policy. Voprosy Ekonomiki, No. 3, pp. 4 — 19. (In Russian).]

Кудрин А., Гурвич E. (2014). Новая модель роста для российской экономики // Вопросы экономики. № 12. С. 4 — 36. [Kudrin A., Gurvich Е. (2014). A new growth model for the Russian economy. Voprosy Ekonomiki, No. 12, pp. 4 — 36. (In Russian).]

Панчева В. С. (2015). Совершенствование налогообложения добычи нефти и газа в России: дис. ... канд. экон. наук: 08.00.10. Москва. [Pancheva V. S. (2015). The enhancement of the taxation of oil and gas extraction in Russia: Cand. Sei. (Econ.) dissertation: 08.00.10. Moscow. (In Russian).]

Фетисов Г. (2006). «Голландская болезнь» в России: макроэкономические и структурные аспекты // Вопросы экономики. № 12. С. 38 — 53. [Fetisov G. (2006). The Dutch disease in Russia: Macroeconomic and structural aspects. Voprosy Ekonomiki, No. 12, pp. 38 — 53. (In Russian).]

Хамфрис M., Сакс Дж., Стиглиц Дж. (ред.) (2011). Как избежать ресурсного проклятия. М.: Изд-во Института Гайдара. [Humphreys М., Sachs J., Stiglitz J. (eds.) (2011). Escaping the resource curse. Moscow: Gaidar Institute Publ. (In Russian).]