Экономика » Теория » Надо ли защищать конкуренцию от интеллектуальной собственности?

Надо ли защищать конкуренцию от интеллектуальной собственности?

Рубрика - Теория
Шаститко А.Е.
д. э. н., проф.
директор Центра исследований конкуренции
и экономического регулирования РАНХиГС
завкафедрой конкурентной и промышленной политики
экономического факультета МГУ имени М.В. Ломоносова

Не вызывает сомнений тезис о том, что экономическое развитие означает экономический рост, основанный на нововведениях. Нет нововведений — нет и экономического развития. Однако они не появляются автоматически в качестве побочного результата повседневной хозяйственной деятельности. В противном случае устойчивый экономический рост (тем более основанный на нововведениях) не был бы достоянием небольшого числа стран и не охватывал сравнительно короткий исторический период, едва превышающий 250 лет.

Нововведения опираются на использование результатов интеллектуальной деятельности (РИД), хотя само по себе создание РИД и спецификация соответствующих прав не гарантируют появление нововведений. Последние — неотъемлемая черта конкуренции как процесса1. Этот тезис также редко ставят под сомнение, а некоторые исследователи саму конкуренцию определяют через нововведения — выявление новых возможностей использования уже известных ресурсов, а также открытие новых2.

Однако означает ли это, что лишь конкуренция на рынке обеспечивает формирование стимулов к созданию РИД, необходимых для реализации нововведений? Каковы структурные альтернативы этому и при каких условиях они могут составить институциональную конкуренцию системе исключительных прав на РИД? Можно ли использовать сами РИД как способ блокирования нововведений и ослабления конкуренции? Если да, то можно ли на этом основании устанавливать антимонопольные запреты в сфере отношений, связанных с созданием и использованием РИД? Если такие запреты вводят, то нужен ли особый режим их применения? Какие условия обеспечивают его действенность? Большинство поставленных вопросов, возможно, интересовали бы главным образом исследователей зарубежных экономик, если бы не острые дискуссии, развернувшиеся в последние два года по поводу исключений из антимонопольных запретов для РИД в российском законодательстве.

Режим исключительных прав

Как известно, антимонопольное законодательство представляет собой набор запретов, направленных на защиту конкуренции посредством применения исключений к принципу свободы договора3. Собственно антимонопольные запреты, которые в российском законодательстве сконцентрированы прежде всего в законе «О защите конкуренции», предполагают частичное размывание (ослабление) права собственности, если объяснять эффекты подобных запретов в терминах экономической теории прав собственности4. Однако из сказанного не следует, что антитраст в своей основе противоречит идее защиты прав собственности вообще и прав на РИД в частности. Это связано хотя бы с тем, что спецификация и защита прав собственности выступают фундаментальным условием цивилизованной конкуренции на рынке, а также условием существования самих рынков. Игнорирование данного принципа при разработке и применении методов антимонопольного регулирования может разрушить рынок как механизм кооперации, выбора наилучшего способа адаптации экономических субъектов к изменяющимся обстоятельствам.

Кроме того, конкуренция на товарном рынке обеспечивает, при прочих равных условиях, более сильные стимулы (чем при монополии или ограниченной конкуренции) к созданию РИД, использование которых способствует снижению издержек производства и/или увеличению спроса на товар5. Это, в частности, связано с тем, что выигрыш, который получает обладатель прав на РИД, в результате снижения издержек производства определяет большие, при прочих равных условиях, рост объемов производства, снижение цен и, наконец, увеличение суммарного выигрыша, чем при монополии ex ante. Данный эффект, известный как эффект замещения, был выявлен К. Эрроу (Arrow, 1962) и до сих пор считается одним из наиболее фундаментальных и важных в рамках дискуссии об эффектах различных режимов защиты, а также условий и результатов создания РИД. В работе Бландела и др., например, эмпирически показано, что интенсивная конкуренция в отрасли способствует инновационной активности, но и высокая рыночная доля фирмы также содействует инновациям, что обусловлено масштабом отдачи от них в терминах частных выгод6 (Blundell et al., 1999).

Ученые не пришли к консенсусу относительно формы и параметров связи между конкуренцией и нововведениями (см., в частности: Ahn, 2002; Vives, 2008). Так, идет дискуссия о наличии связи между конкуренцией и нововведениями в виде перевернутой буквы U (Aghion et al., 2005). Не обсуждая приемлемость выбранных показателей и оценок зависимости между интенсивной конкуренцией и инновациями, вслед за указанными авторами мы далее рассматриваем вопрос о стимулах к нововведениям через призму не размеров постинновационной ренты, а различий между пред- и постинновационной рентой7 (ниже используется термин «прибыль»).

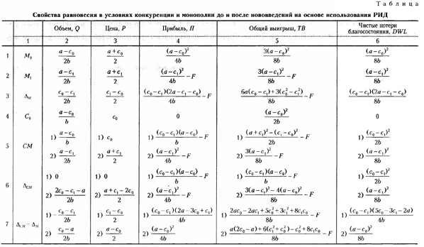
В таблице показано, как соотносятся стимулы к нововведениям (последние измерены в ожидаемых изменениях экономической прибыли) в условиях соответственно монополии и конкуренции ex ante. В рассматриваемом примере представлена конкуренция по Бертрану с недифференцированным продуктом. Для случая конкуренции ех ante возможны два варианта: с антимонопольными ограничениями ех post и без таковых. Первые напоминают поведенческие предписания антимонопольного органа не повышать цены. Кроме того, использование РИД может приводить к радикальной или нерадикальной инновации. Это важно учитывать, отвечая на вопрос об основаниях применения антимонопольных ограничений как средства не допустить ухудшения положения потребителей или обеспечить соразмерное распределение выигрышей от нововведений между производителями и потребителями8.

В нашем примере используется предпосылка, что победитель — в данном случае обладатель прав на РИД, с помощью которых снижаются средние переменные издержки, — при невмешательстве антимонопольного органа получает все9. Конкретные параметры равновесия в нерегулируемом случае могут свидетельствовать о том, что нововведение радикальное, то есть оно позволяет инноватору максимизировать прибыль при более низкой цене, чем в условиях конкуренции ex ante10 (см. табл.).

Представленные в таблице соотношения указывают на многообразие рыночных ситуаций, связанных со стимулами к созданию РИД в рамках дискретной структурной альтернативы «исключительные права на РИД» и использованию их для производства товаров. Но они не учитывают ряд таких аспектов, как соотношение технологического уровня фирм-конкурентов, управление поведением исполнителя, множественность механизмов управления трансакциями (особенно в части гибридных форм) и др. Кроме того, они не отражают в явном виде еще один значимый аспект: защищенность прав на РИД есть важнейшее условие воспроизводства стимулов к их созданию11.

Предположим, что обратная функция спроса описывается уравнением Р = a - bQ, а первоначальная функция издержек i-й фирмы отражает постоянную отдачу от масштаба и представлена уравнением TС0 = с0qi. Монополия ex ante нерегулируемая. Предполагается, что создание РИД выступает условием для технологического нововведения, которое приводит к изменению функции издержек ТС1 = c1qi , причем с1 < с0. Само технологическое нововведение требует затрат на получение необходимых РИД, которые составляют фиксированную величину F (по объему выпуска). Однако не учитываются издержки, непосредственно связанные с внедрением данного РИД (хотя, например, для случая патентов они могут быть намного больше, чем издержки на получение РИД, а также спецификации и защиты прав на них).

М0 — множество характеристик равновесия в условиях монополии до нововведения на основе использования РИД, в том числе по равновесным объемам сделок в натуральном выражении, рыночной цене, прибыли, суммарному выигрышу, включая излишек потребителя и, наконец, чистые потери благосостояния; М1 — множество характеристик равновесия в условиях монополии после нововведения на основе использования РИД; Δм изменение характеристик равновесия в условиях монополии в результате нововведения на основе использования РИД. С0 — множество характеристик равновесия в случае конкуренции до нововведения на основе использования РИД; СМ — условия равновесия в результате перехода из конкуренции ex ante в монополию ex post или сохранения конкуренции на товарном рынке, но на новых условиях.

Предполагается, что внедрение нововведения на основе РИД в ситуации конкуренции ex ante приводит не только к 1) снижению средних переменных издержек, 2) появлению фиксированных издержек, но и к 3) двум возможностям ex post: а) условия равновесия ex ante поддерживаются ex post (al) посредством государственного регулирования или (а2) в результате конкуренции с сохранением режима исключительности прав, основанного на обеспечении платного доступа к РИД (аналогично лицензированию согласно принципу FRAND — справедливому, разумному доступу на недискриминационных условиях); б) регулирование отсутствует.

В последнем случае важны свойства нововведения. Если оно радикальное, то равновесная цена на рынке должна быть ниже, чем изначально конкурентная, и в этом случае конкуренты могут быть устранены с рынка. Если нововведение нерадикальное, то нерегулируемая цена будет ниже той, которая сформировалась бы в сопоставимых условиях монополии, но выше исходной цены в условиях конкуренции, соответствующей уровню предельных издержек до их снижения. Условием неповышения цены может быть либо наличие конкурентного окружения, обладающего механизмом передачи прав на использование РИД в обмен на платежи (разовые и/ или регулярные), либо регулирование.

Соответственно первый вариант связан со снижением цены инноватором до уровня, необходимого для принятия конкурентами решения об уходе с рынка. Предполагая, что барьеры входа на рынок существуют, оставшаяся на нем фирма имеет возможность поднять цену до уровня, максимизирующего экономическую прибыль. Отметим, что в таблице данный аспект — ценовая война как способ установления доминирующего положения (монополизации рынка) — в терминах издержек фирмы-инноватора в явном виде не учтен, так как процесс перехода от одного равновесия к другому не рассматривается.

Кроме того, возможен вариант, когда в обмен на получение лицензии и доступа к новой функции издержек конкуренты могут согласиться поддерживать цены на уровне, соответствующем максимуму общей прибыли. В этом случае РИД и нововведение могут рассматриваться как инструмент создания картеля. Тогда требуется эффективный запрет на такие действия.

Как мы показали раньше, при нелегальном выпуске продукции, создаваемой с помощью РИД и отличающейся низкими издержками копирования, может возникнуть ситуация, когда антимонопольные запреты приведут к равновесию, характеристики которого будут хуже не только тех, которые формируются при наличии таких запретов и защищенности прав на РИД, но и тех, которые наблюдаются в случае полного отсутствия антимонопольных запретов применительно к РИД (Шаститко, Курдин, 2012). Однако отметим, что в зависимости от свойств конкуренции (стратегий участников рынка) стимулы и результаты деятельности могут различаться (Shastitko, Kurdin, 2013). В частности, если предположить конкуренцию ex ante по Курно для двух фирм, то соотношение между прибылью ex ante и ex post будет иным, чем в условиях как монополии, так и конкуренции по Бертрану с недифференцированным товаром (что, по сути, подразумевается в таблице).

Если предположить, что конкуренты компании-инноватора имеют свободный доступ к ее РИД, то экономическая прибыль практически сразу станет равной нулю. Кажется, что общественное благосостояние в данном случае возрастет. Однако потенциальный правообладатель может ожидать реализации такого сценария, что не только ослабит его стимулы к инвестициям в нововведения и создание РИД, но и в принципе переориентирует стимулы и усилия (индивидуально и организационно) на деятельность, не связанную с инновациями на основе РИД и соответственно не имеющую отношения к экономическому развитию. По сути, эту идею сформулировал более 40 лет назад У. Нордхаус (Nordhaus, 1969а, Ь). Фактически данная ситуация отражает фундаментальную проблему поиска компромисса между стимулами к созданию РИД и инновациям, с одной стороны, и возможностями их распространения — с другой.

Действительно, затраты, связанные с созданием РИД, можно рассматривать как постоянные (по объему выпуска продукта, который производится с использованием данного РИД). Однако наличие свободного доступа, не предполагающего компенсацию даже расходов на создание РИД, фактически означает наказание за инновационную деятельность, если не рассматривать в качестве достаточной компенсации для одного инноватора — создателя РИД свободный доступ к РИД другого. В таком случае эффект можно получить однократно, если использовать фактор внезапности (как и в других примерах экспроприации или частичного размывания прав). Предсказуемым результатом станет не только ослабление стимулов данной компании инвестировать в создание РИД, но и снижение стимулов других компаний как в этой, так и в других отраслях на период, продолжительность которого зависит в том числе от особенностей индивидуальной и организационной памяти.

В одной из недавних работ Д. Асемоглу и У. Аксиджит выявили признаки наличия таких эффектов в области разработки программного обеспечения, когда в ходе многолетних антимонопольных разбирательств в отношении компании Microsoft изменился тренд в расходах на исследования и разработки относительно среднего уровня в отрасли не только данной компании, но и 10 других крупнейших компаний этой сферы, хотя, казалось бы, они должны были получить определенные бонусы от решений в отношении Microsoft (Acemoglu, Akcigit, 2012). Если практически до конца 1990-х годов относительные расходы Microsoft росли почти экспоненциально, а у 10 крупнейших компаний тоже наблюдалась тенденция к росту, хотя и менее выраженная, то с конца 1990-х годов все изменилось. Понятно, что на динамику относительных расходов компаний ИТ-сектора влияло множество факторов, но именно антимонопольное разбирательство можно считать главным из них, особенно если предположить, что другие компании вполне могли ожидать такой же участи.

На уровне риторики политика в отношении прав на РИД всегда будет связана с эффектами общественного благосостояния. Можно ли обозначить границы допустимого в риторике, чтобы она не попадала в разряд пустых популистских обещаний, но в то же время не влияла негативно на действующие экономические механизмы?

Рассмотрим простой пример, который иллюстрирует проблему максимизации общественного выигрыша в условиях положительных трансакционных издержек. В качестве основы используем иллюстрацию эффекта Эрроу, предложенную Д. Карлтоном и Дж. Перлофом применительно к проблеме создания и использования патентов12, но в более широком контексте (Carlton, Perloff, 1990. P. 681).

Если предположить постоянную отдачу от масштаба до и после нововведений на основе использования РИД, линейную обратную функцию спроса, а также ex ante условия монополии и конкуренции на рынка продукта и ex post условия монополии и конкуренции, то можно показать, что сила стимулов монополиста, соответствующая сумме площадей А + В, меньше, чем сила стимулов фирмы в условиях конкуренции А + В + С, при условии равенства объемов выпуска (см. рис). Однако если учесть разницу в объемах выпуска, то разрыв будет еще больше — A + B + C + D. Тогда если ожидаемые необходимые затраты для получения РИД составляют F (как в таблице), то существует множество ситуаций, когда в условиях конкуренции на рынке ex ante РИД создается и нововведения возможны, а в условиях монополии — нет: А + В < F < A+B+C+D (с одной оговоркой, о которой — далее). Отметим, что при отсутствии ограничения по мощностям со стороны правообладателя полученный результат можно рассматривать как способ антимонопольного ограничения монополиста ex post методом выдачи поведенческих предписаний со стороны антимонопольного органа не повышать цены в обмен на возможность самостоятельно определять способы использования прав на РИД как условие его внедрения.

Однако и в этом случае можно обнаружить отклонение от условий максимизации общественного выигрыша в новой ситуации, так как даже конкуренция с предоставлением лицензии на использование РИД (которую можно было бы интерпретировать как предоставление справедливых, разумных, недискриминационных условий доступа к РИД для производства соответствующих товаров13) не позволяет уловить часть потенциального выигрыша — в размере Ен. Но при попытке сделать это возникает ситуация, подобная той, с которой сталкивается регулятор в сфере естественной монополии: эффективное ценообразование может привести к разорению производителя (инноватора) и уходу его с рынка, если не компенсировать возникающие убытки.

Вот почему рассмотренный выше набор вариантов — это подмножество структурных альтернатив, в отличие от другого подмножества — системы отношений между участниками инновационного процесса, где вознаграждение за РИД имеется, но исключительные права как таковые могут отсутствовать14. Другими словами, после создания за определенное вознаграждение РИД оказывается в режиме открытого доступа. Однако гарантирует ли он преодоление ограниченности патента как семейства структурных альтернатив, основанных на режиме исключительности прав? Рассмотрим данные возможности подробнее.

Режим открытого доступа

Режим исключительных прав сопряжен со значительными издержками, в числе которых — патентные гонки и связанное с ними избыточное патентование. Для устранения изъянов системы патентной защиты некоторые исследователи, в том числе Дж. Стиглиц (Stiglitz, 2008), предлагают активнее применять структурные альтернативы патентной защите15. Подчеркнем, что данные альтернативы не применимы к средствам индивидуализации, что указывает на фундаментальные особенности различных видов РИД, к которым приравнивают (но, как показывает практика, не отождествляют) средства индивидуализации (см., например, ст. 2 и 1225 ГК РФ). Это важно учитывать при обсуждении возможности применять недифференцированные режимы антимонопольных запретов в сфере создания и использования прав на РИД и приравненные к ним средства индивидуализации.

В число вариантов создания РИД без закрепления исключительных прав за разработчиками (с целью повысить объем производства в результате использования РИД до уровня, соответствующего максимуму общественного благосостояния) входят система контрактов или грантов (как из государственного бюджета, так и от некоммерческих организаций), а также система призов16. В первом приближении система контрактов (закупок РИД) основана на идее минимизации издержек на получение искомого РИД, а система призов опирается на принцип максимально быстрого достижения результата при установленном размере вознаграждения (Shavel, Ypersele van, 2001; Stephan, 1996; Gallini, Scotchmer, 2002. P. 53-62; Scotchmer, 2005). Однако даже если предположить, что фиксированной (относительно объема реализации на соответствующем рынке товара) суммы достаточно, чтобы гарантированно получить необходимые для технологического нововведения РИД, остается еще ряд вопросов, свидетельствующих о сложностях улавливания в динамическом контексте потенциального выигрыша, соответствующего площади треугольника Е на рисунке.

Во-первых, откуда возьмутся стимулы трансформировать полученные РИД в новую технологию, товары и услуги? Если предположить свободный доступ17 к таким результатам, то рассчитывать на экономическую прибыль не приходится (тем более есть издержки внедрения). Правда, и неиспользование такой возможности может дорого обойтись участнику рынка, если остальные сократят свои издержки, реализовав нововведение, и тем самым снизят цены. Ответ прост: в противном случае покупатели переключатся на продукцию конкурентов, и в результате компании придется покинуть рынок.

Во-вторых, как будут распределяться бюджетные средства, если работа по созданию нововведения финансируется за счет государства (см., в частности: Shavel, Ypersele van, 2001)?

В-третьих, каким образом данный способ финансирования влияет на стимулы, если велика вероятность отрицательного результата?

В-четвертых, как решается асимметричная проблема «безбилетника» на наднациональном уровне, связанная с открытым доступом к РИД для неопределенного круга лиц в условиях асимметричного технологического развития (технологический разрыв)?

Распределение бюджетных средств на проведение исследований. Даже если предположить, что приоритеты исследований с точки зрения тематики определены правильно, возникают многочисленные вопросы. В их числе: каким образом распределять средства; стоит ли проводить конкурс; если да, то как; кто и как будет формулировать техническое задание и оценивать полученные результаты на предмет соответствия ему? Наконец, ключевой вопрос: будет ли считаться договор выполненным (если это конкурс на право проведения исследований и заключение контракта), если полученные результаты отличаются от ожидаемых (причем не обязательно имеется в виду отсутствие позитивных результатов)? Как, например, быть, если результат, причем полезный, получен, но конкурс проводили в расчете на другой (вследствие слишком высокой степени детализации ex ante его условий в части содержания работ и т. д.)?

В качестве альтернативы выполнению работ на основе договора можно рассмотреть вознаграждение в виде приза (премии), который также выплачивается из средств государственного бюджета. В этом случае оплата происходит постфактум, и все финансовые риски, при прочих равных условиях, возлагаются на разработчика — создателя РИД. Если выплата призовых за нововведение, то есть за внедренный в производство РИД, осуществляется на основе оценки рыночного успеха инновации, то теоретически можно воспроизвести стимулы, эквивалентные системе с защищенными правами на РИД, но без проблемы «патента на полке». Как справедливо отмечают исследователи, эта система предъявляет чрезвычайно высокие требования к государству как источнику ресурсов, необходимых для создания стимулов в частном секторе. В первую очередь речь идет об информированности государства и ex ante, и ex post.

Казалось бы, ex post результаты создания и использования РИД определить несложно, а главное — обеспечить достоверность обязательств при выплате соразмерного вознаграждения разработчикам. Но для определения соразмерного вознаграждения нужно оценить величину выигрыша, установив сферу применения, географические границы, а также временной интервал, в рамках которого оценивается общественный эффект. Другими словами, преимущество системы вознаграждений, источником которых выступает государство и которые позволили бы уловить часть общественного выигрыша (соответствующую площади треугольника Е на рисунке), над системой патентования не абсолютное именно потому, что частная информация, необходимая для получения соответствующих оценок стоимости патента, либо не доступна в принципе, либо доступна со значительными затратами и временными лагами (Shavel, Ypersele van, 2001. P. 530).

И все же указанные авторы оптимистично оценивают возможности использовать систему вознаграждения. Это во многом определяется их методологическим подходом к исследованию выделенных структурных альтернатив и, в частности, используемыми предпосылками. Согласно им, известны функции вероятности инновации в зависимости от размера инвестиций, функции издержек, семейство возможных кривых спроса, а также плотность распределения ценностей РИД (патента), а к частной информации относится собственно ценность патента (Shavel, Ypersele van, 2001. P. 532).

Отметим, что в данном случае при сравнении двух систем создания и использования РИД возникают серьезные требования к информации, что дает основание для другого вопроса: можно ли предложить вариант выбора, если надлежащей информации нет? Можно ли предоставить компании возможность самой выбрать между системой защиты прав с помощью патентов и системой вознаграждений? Именно такой вариант С. Шэвел и Т. ван Айперсел считают наиболее перспективным. Особо отметим, что они фактически ставят знак равенства между созданием РИД и нововведением, хотя, как известно, это далеко не так18.

Но недостаточно снять предпосылку о том, что государство — беневолентный, пусть и несовершенно информированный, участник инновационного процесса. Не меньшее значение имеет вопрос о стимулах акторов на стороне государства, призванных обеспечивать действенность механизма вознаграждения с минимально возможными издержками администрирования. Особенно актуальными проблема стимулов и смежная проблема достоверности обязательств оказываются в случае применения схемы финансирования ex post — выплаты премий (призов). Здесь возможно несколько вариантов: фиксировать величину приза ex ante; фиксировать ex ante величину, а затем по определенной методологии корректировать ее ex post; устанавливать ее в зависимости от оценки степени успешности ex post.

Бремя риска отрицательного результата возлагается на тех, кто пришел вторым или вообще не пришел к финишу, как в системе с защищенными правами на РИД. Однако есть еще и бремя победителя, связанное либо с проблемой некорректного определения суммы приза ex ante (в случае заниженной оценки), либо с проблемой обеспечения достоверности обязательств со стороны плательщика приза, когда принципы оценки, установленные ex ante, применяются или согласно первоначальному дизайну, или корректируются с учетом изменившихся обстоятельств. Но именно данный аспект, характерный для полных контрактов, может означать дополнительную проблему в условиях, когда все существенные элементы взаимодействия между сторонами соглашения специфицировать ex ante не представляется возможным, а переговоры ex post проходят в ситуации, когда у создателя РИД заведомо более слабая позиция19.

Строго говоря, система вознаграждений за РИД может принимать разнообразные формы, в том числе принудительного лицензирования20 или выкупа государством патента, что, по сути, может быть аналогом системы призов. Однако в ситуации принудительного лицензирования (подробнее см.: Авдашева, Шаститко, 2012) источником компенсации служат, как правило, небюджетные средства, поскольку получателями лицензии выступают участники рынка, в том числе потенциальные конкуренты правообладателя. Но в этом случае соглашение «принудительная лицензия» может носить вероятностный характер при условии существования прав на РИД21, тогда как система вознаграждения предполагает жесткую связь между самим фактом получения ценного РИД и вознаграждением. Эта особенность может быть обусловлена недостоверностью обязательств государства по защите прав на РИД.

Отрицательный результат. Как известно, отрицательный результат тоже результат, однако в случае использования бюджетных средств данный принцип не всегда приемлем. В частности, такой результат может быть интерпретирован контролирующими органами как нецелевое (а в лучшем для объектов контроля случае — неэффективное) использование бюджетных средств на основе де-факто подмены знаний о результатах ex ante знаниями ex post. В свою очередь, это служит основанием для применения не только административных, но и уголовных санкций, что может серьезно повлиять на стимулы к использованию таких средств в поисковых областях.

Угроза подобных санкций делает систему грантов более или менее работоспособной в ситуации, когда позитивный результат практически гарантирован. Но это возможно либо в случае псевдо-РИД и соответствующей ему инновации22, либо при наличии результатов, полученных предварительно за счет других источников финансирования, которые практически гарантируют успех на финальной стадии. Фактически здесь возникает проблема поиска компромисса между применением в том или ином виде «презумпции добросовестности разработчика» и гарантией получения результата в соответствии с установленными ех ante характеристиками. Несбалансированное решение данного вопроса может обострить проблему субъективного риска в ситуации, когда исполнители контракта отчитываются за издержки, выполненную работу, а не ожидаемым РИД (Gallini, Scotchmer, 2002. P. 54), не говоря уже о его внедрении и оценках со стороны конечных потребителей товаров и услуг, которые производятся с помощью РИД.

Отметим, что и в случае контрактов/грантов (ex ante финансирование), и в случае призов/премий (ex post финансирование) возможны конкуренция и состязательность. Однако, в отличие от ранее рассмотренных примеров, здесь предметом конкуренции выступают бюджетные средства или средства частных организаций (фондов), а не покупатели продукции, которая производится на основе использования соответствующего РИД23, если только речь не идет о ситуациях, когда компании обращаются к изобретателям с практическими проблемами, решение которых может снизить издержки, улучшить качество продукта (в том числе сроки хранения) и т. п., и РИД могут воспользоваться все желающие. Именно эти различия позволяют объяснить, почему указанный выше недополученный выигрыш в условиях конкуренции на самом деле — мираж, который при определенных обстоятельствах может спровоцировать действия, ведущие к гораздо худшему результату по сравнению с полученным на основе собственной деятельности участника рынка, на свой страх и риск создающего и использующего РИД в рамках системы патентной защиты и/или защиты в режиме коммерческой тайны.

И тем не менее в свете изъянов системы исключительных прав отметим возможный эффект недопущения конкуренции, или так называемый эффект эффективности, возникающий в случае, когда существует угроза входа конкурента через инновацию на рынок, где уже действует закрепившийся монополист (Тироль, 2000. Т. 2. С. 318 — 320; Gilbert, Newbery, 1982; Cohen et al., 2000). В этой ситуации затраты и стимулы к созданию РИД (но не нововведения!) для защиты своего положения у монополиста могут быть выше, чем у потенциального конкурента. Причем в качестве инструмента защиты от конкуренции могут применять схему приобретения прав с последующим перемещением патента на «полку» и превращения его в «спящий». Смысл так называемых патентных гонок состоит не столько в том, чтобы как можно быстрее реализовать нововведение, сколько в том, чтобы как можно быстрее получить права на РИД и тем самым защитить свое положение на рынке. Таким образом, приобретение патента может стать средством не нововведения, а сохранения монопольного положения (см.: Etro, 2007. P. 31-34)24.

Асимметричная проблема «безбилетника». Эта проблема возникает, когда РИД, созданный за счет средств налогоплательщиков в одной стране, используется для производства товаров и услуг в другой. Возможно, если бы процесс был взаимным и можно было отслеживать, в каких сферах и насколько масштабно используются указанные результаты, периодически производить своеобразный РИД-клиринг на основе международных соглашений о компенсациях за использованные результаты, то это не составляло бы проблему. Однако именно по причине запредельных издержек создания и администрирования такой системы крайне сложно избежать формирования стимулов, как в случае с «безбилетником».

Другая часть проблемы связана с тем, что некоторые игроки могут более эффективно использовать РИД в открытом доступе, чем другие. Сама по себе эффективность связана с наличием или отсутствием сильного отставания в технологическом развитии. Чем оно сильнее, тем меньше шансов встроить РИД в инновационный процесс посредством копирования, если только государство не прилагает дополнительные усилия для ускоренного развития (сокращения технологического разрыва) в отдельных областях. Когда национальная экономика в развитии своей инновационной системы сильно отстает от лидеров, шансов получить выигрыш от свободного доступа к РИД конкурентов-лидеров немного, в то время как пусть немногие, но выдающиеся результаты, полученные в сравнительно слабых системах, могут оказаться легкой добычей продвинутых игроков. Как следствие, может возникнуть парадоксальный эффект: РИД, созданные в странах с менее развитой экономикой, используются в развитых странах. Нечто подобное наблюдалось в советское время, когда РИД, полученные в СССР, внедрялись (то есть на их основе создавались нововведения) в других экономиках.

Подводя некоторые итоги, отметим, что в сфере создания и использования РИД существуют различные структурные альтернативы, имеющие как сравнительные преимущества, так и изъяны. Это указывает не только на возможности создавать сильные стимулы к производству РИД в условиях конкуренции, но и на чистые потери благосостояния в ситуации с исключительными правами; на возможности как улавливать потенциальный выигрыш, так и получать значительно худшие результаты даже по сравнению с монополией при неправильном дизайне систем вознаграждения с участием государства.

Однако в любом случае можно сформулировать гипотезу, согласно которой повышение действенности инновационной системы зависит от устройства и возможностей совершенствования различных механизмов создания РИД, включая подсистемы спецификации и защиты прав на них (в рамках процесса, который можно назвать институциональной конкуренцией), а также их избирательного закрепления за различными классами экономических обменов (трансакций). Последние характеризуются: 1) масштабами позитивных внешних эффектов создания РИД, или общественной значимостью; 2) степенью «рутинности» создания РИД; 3) информированностью участников инновационного процесса — как абсолютной, так и относительной (по отношению друг к другу); 4) доступными инструментами обеспечения достоверных обязательств при использовании той или иной структурной альтернативы создания РИД (Уильямсон, 1996; Шаститко, 2006).

Об отмене исключений для РИД в российском антитрасте

В результате введения в российское законодательство норм, предусматривающих применение оборотных штрафов за нарушение требований антимонопольного законодательства (в первую очередь ст. 14.31 и 14.32 КоАП РФ), а также после первых случаев выплаты миллиардных штрафов (по результатам рассмотрения дел против «большой четверки»25), стало очевидно, что изменения в сфере антитраста имеют системное значение. Они влияют на формирование стимулов участников товарных рынков и возможности конкуренции.

Если также принять во внимание острую дискуссию, развернувшуюся в последние два года по вопросу о правомерности применения исключений из антимонопольных запретов в российском законодательстве для отношений26, связанных с использованием объектов, которые защищены соответствующими правами на РИД, то весьма актуальной становится проблема обеспечения сбалансированности антимонопольных запретов и защиты прав на РИД. Здесь возникает много частных, но важных вопросов. В их числе: 1) соотношение конкуренции, создания РИД и прав на них, нововведений; 2) структурные альтернативы стимулирования создания РИД как условия нововведений; 3) возможности злоупотребления правами на защиту конкуренции и на РИД; 4) международный контекст поиска баланса между защитой прав на РИД и антитрастом в связи с поиском «лучших практик» как материала для трансплантации релевантных институтов. Если первые два вопроса были рассмотрены в предшествующих разделах (главным образом, применительно к патентам как источникам технологических и продуктовых нововведений), то третий и четвертый вопросы исследуются в данном разделе.

Вопрос о соотношении антитраста и защиты прав на РИД стал особенно актуальным в связи с подготовкой предложений о внесении изменений в закон «О защите конкуренции» и ГК РФ, которые направлены на изменение сложившегося баланса антимонопольных запретов и защиты прав на РИД27.

Широко обсуждается вопрос в формате третьего (принятого в конце 2011 г.) и четвертого антимонопольного пакетов28 (обсуждение которого началось в феврале 2012 г. и продолжается до сих пор): сохранить или устранить из формулировок ст. 10 (ч. 4) и И (ч. 9) закона «О защите конкуренции» исключения по поводу РИД? Должны ли антимонопольные запреты распространяться на использование прав на результаты интеллектуальной деятельности? Как показывает наш анализ, простого ответа на этот вопрос нет. Важно учитывать отраслевые эффекты и условия обеспечения состязательности рынков (возможностей входа на рынок новых участников) (см.: Авдашева и др., 2013. С. 11-42).

В долгосрочном плане ответ по принципу «да/нет» неверен с точки зрения повышенных рисков ошибок I и II рода. Особенно велики риски ошибок I рода в случае безусловно положительного ответа на поставленный вопрос: ошибочный запрет действий и соглашений, которые либо вообще не имеют отношения к ограничению конкуренции, либо для их существования есть веские основания (оправдание на основе аргументов об эффективности, что концептуально соответствует конструкции норм ст. 13 закона «О защите конкуренции», практика применения которой до сих пор была крайне ограниченной29).

Односложный отрицательный ответ на данный вопрос фактически означает либо признание правильным тезиса о том, что указанные исключения вообще не имеют никакого значения и ничего на самом деле не ограничивают (или самого предмета нет, или существуют другие нормы, позволяющие решить гипотетические проблемы), либо игнорирование возможности злоупотреблять правами, в том числе на РИД, как способа ограничения конкуренции. При этом такое ограничение не связано с повышением эффективности и, как следствие, не компенсируется выигрышами потребителей.

Таким образом, при соблюдении ряда условий, связанных с решением имеющихся проблем в области защиты прав собственности и содержания/применения норм антимонопольного законодательства, в долгосрочной перспективе имеются основания ответить «да».

В краткосрочной перспективе больше оснований для односложного ответа «нет», что в первую очередь обусловлено: 1) положением в сфере создания и защиты прав на РИД; 2) общим состоянием антитраста в России; 3) особенностями работы административной системы; 4) местом России в системе международных экономических обменов по поводу создания и использования РИД, а также передачи связанных с ними прав.

Как можно оценить реализованный подход к обеспечению сбалансированности антимонопольных запретов и защиты прав на РИД? Ответ можно кратко сформулировать так: он не идеален, но приемлем, поскольку не требует неотложных (специфических во времени30) мер по исправлению ситуации. Обратим внимание на пять взаимосвязанных аспектов обсуждения данной проблемы.

Во-первых, Россия по-прежнему располагается в нижней части международных рейтингов, которые оценивают положение в области защиты прав на интеллектуальную собственность. В частности, согласно Докладу о глобальной конкурентоспособности, который ежегодно готовит Всемирный экономический форум, Россия входит в последний квинтиль, занимая 125-е место из 144 по разделу «Защита интеллектуальной собственности» (что чуть лучше ситуации в области защиты прав собственности в целом — 133-е место) (World Economic Forum, 2012. P. 388—389). Это сильно контрастирует с данными другого рейтинга, согласно которому российский антимонопольный орган уверенно продвигается в мировую элиту антитраста31.

Во-вторых, обсуждение содержания российского антимонопольного законодательства (в том числе норм ст. 10 и 11 закона «О защите конкуренции») нельзя рассматривать в отрыве от практики его применения. В противном случае вероятно повторение ошибок политики, основанной на наивной теории импорта институтов. (Ее суть можно кратко изложить так: в развитых странах сформировались хорошо зарекомендовавшие себя институты; необходимо выявлять и заимствовать лучшие зарубежные практики посредством соответствующего изменения законодательства.)

Однако, как правило, в рамках данного подхода игнорируют задачу создания инфраструктуры правоприменения (а в более общем плане — структуру трансакционных издержек), которая выступает одной из важнейших характеристик лучших практик, но, в отличие от законодательных норм, не поддается простому копированию и даже трансплантации. Сложности копирования (трансплантации) связаны не только с необходимостью выяснить реальное положение в области правоприменения, но и с возможностью воспроизводить соответствующую структуру стимулов для релевантных групп интересов, не говоря уже о механизме обратной связи практики правоприменения с правоустановлением в форме оценки регулирующего воздействия.

В качестве примера можно привести первые оценки того, насколько практика использования экономического анализа (при применении российского антимонопольного законодательства) соответствует установленным внутренним стандартам, которые, в свою очередь, во многом заимствованы из американской и европейской практик (см.: Авдашева, Шаститко, 2011; Авдашева и др., 2011). Проведенный в указанных работах анализ показывает, что даже если за основу для сравнения выбрать существующие — пусть не лучшие из возможных — стандарты применения экономического анализа, то практика свидетельствует как минимум о наличии значительных резервов в этом плане.

Важную роль начинают играть не столько формулировки норм, содержащих запреты, а также отражающих механизмы спецификации и защиты прав на РИД, сколько сложившиеся стандарты выявления фактов нарушения установленных правил, структура санкций в отношении нарушителей, масштабы ошибок I и II рода в правоприменении. Нужно на деле гарантировать защиту прав на РИД (в первую очередь тех, где издержки, связанные с техническими аспектами копирования, близки к нулю) (Шаститко, Курдин, 2012; Shastitko, Kurdin, 2013). Незащищенность законных правообладателей создает эффект размывания прав, который, в свою очередь, может быть мультиплицирован в случае распространения антимонопольных запретов на РИД, причем дважды: 1) .сначала самим фактом запретов (ошибка I рода в право-установлении); 2) затем ошибочным установлением фактов ограничения конкуренции (с последующим наказанием) в ситуации, когда стандарты доказательства невысоки, а презумпция невиновности де-факто не срабатывает. Отметим, что в США и ЕС отсутствуют нормы об исключении РИД из-под действия антимонопольных запретов, но есть акты, которые ориентируют практику применения антимонопольных норм на оценку эффектов в соответствии с правилом взвешенного подхода32.

В-третьих, издержки подачи жалоб в административной системе минимальные, а риски их отклонения для жалобщиков низкие (по крайней мере, в части применения норм антимонопольного законодательства) (Avdasheva, Kryuchkova, 2013; Авдашева, Крючкова, 2013). Суть проблемы в том, что жалобы, отвлекающие ограниченные ресурсы антимонопольного органа, могут поступать как от добросовестных, так и от недобросовестных жалобщиков, разграничить которых ex ante невозможно. Сама по себе система обязательной реакции на жалобы, даже если она не имеет отношения к ограничению конкуренции (причем в условиях невысоких стандартов доказывания — эффект дополнительности), приводит к тому, что усиливаются эффекты ошибок I (для отчетности) и II (когда ограничения конкуренции есть, но никто не жалуется) рода33. Соответственно если недобросовестные жалобщики (конкуренты и контрагенты) используют возможности административной системы в собственных интересах (рентоориентированное поведение), то риски ослабления сдерживающих эффектов возрастают.

В-четвертых, в последние годы в связи с повышением значимости антимонопольных инструментов проявились риски, а в ряде Случаев — опасные тенденции в эволюции российского антитраста. В первую очередь речь идет о ползучем регуляционизме, дисфункциональности норм, низком уровне применения инструментов экономического анализа, который объективно необходим для получения доказательств. Ползучий регуляционизм проявляется в слишком узком применении концепции «сопоставимых рынков» (Шаститко, 2010b), в замещении концепции экономических издержек концепцией бухгалтерских издержек (Авдашева, Шаститко, 2009), в применении норм ст. 6 закона «О защите конкуренции», распространении антимонопольной регламентации торговых практик частных компаний (Радченко и др., 2013). Дисфункциональность выражается в применении нормы о коллективном доминировании к случаям индивидуального злоупотребления хозяйствующими субъектами своим положением в составе коллективно доминирующих субъектов (Shastitko, 2011; Шаститко, 2012).

В-пятых, особенности проработки вопроса о направлениях изменений, относящихся к: 1) формированию и соблюдению стандартов доказательства в делах о нарушении требований антимонопольного законодательства и в рамках контроля сделок экономической концентрации; 2) оценке эффектов применения норм постфактум с использованием доступных инструментов экономического анализа; 3) проектированию норм с учетом ожидаемых эффектов (в плане эффективности и распределения) различных структурных альтернатив (Кокорев, Шаститко, 2006), как и возможности совершенствования каждой из них. Данный вопрос касается в том числе аргумента в пользу отмены исключений из ст. 10 и И: крупные зарубежные компании пользуются установленными исключениями и наносят ущерб российским потребителям. Возможно, это и так34, но 1) существуют другие нормы, которые могут решить названную проблему; 2) вероятно, не учитываются другие варианты объяснения применяемых практик, отсутствие которых только ухудшило бы положение потребителя (так называемая негостеприимная традиция в антитрасте) (Уильямсон, 1996, С. 582); 3) существует риск ограничить приток прямых зарубежных инвестиций в результате ослабления режима защиты прав на РИД; 4) данные исключения касаются и российских создателей РИД — отмена таких исключений создает для них дополнительные антимонопольные риски и соответственно предпосылки для повышения издержек в целях управления данными рисками.

Итак, не будет ли распространение антимонопольных запретов на использование прав на РИД противоречить нормам части четвертой ГК РФ и соответствует ли данный подход обязательствам, принятым Россией в рамках присоединения к ВТО? Такие риски есть.

Во-первых, возможны злоупотребления правами на защиту конкуренции со стороны как участников рынка, так и госорганов (в первую очередь антимонопольных).

Во-вторых, наблюдается подмена защиты конкуренции защитой интересов отдельных участников хозяйственного оборота (сложившаяся практика реагирования антимонопольного органа на жалобы фактически подтверждает это). Отчасти данная проблема была решена в третьем антимонопольном пакете путем разделения видов нарушений ст. 10 и 11 на две группы; во второй оказались нормы, описывающие преимущественно эксплуатирующую, а не исключающую практику. Однако фундаментально эта подмена остается одной из основ современного российского антитраста.

В-третьих, расширение экономического регулирования под видом применения инструментов классического антитраста — также один из рисков (Шаститко, 2012), который усиливается в результате распространения антимонопольной регламентации торговых практик частных компаний. Достаточно свежий пример — закон о торговле (Avdasheva, Shastitko, 2012).

Однако, в-четвертых, отсутствуют систематические (и даже фрагментарные) оценки такого рода рисков. Отсюда у любого решения на данный момент есть одно вполне предсказуемое последствие — подтверждение нестабильности «правил игры», что свидетельствует о нереализованности принципа верховенства права (Agrast et al., 2012). Для выхода из порочного круга ошибочного изменения норм необходимо как отказаться от принципа «одного размера для всех» и накапливать позитивное знание о формах и масштабах злоупотреблений правами на РИД, с одной стороны, и использования антимонопольного законодательства для решения хозяйственных споров вместо защиты конкуренции — с другой. Это позволит избежать ошибок I рода, когда государственное вмешательство может стать источником разрушения полезной для увеличения общественного благосостояния кооперации между участниками рынка.


1 Однако, как будет показано далее, степень обоснованности данного тезиса зависит и от определения конкуренции, и от соотношения нововведения и РИД.

2 Такого подхода придерживаются исследователи австрийской школы, воспринявшие вслед за Ф. фон Хайеком идею конкуренции как процедуры открытия (Хайек, 1989).

3 Данный принцип зафиксирован, в частности, в ст. 421 Гражданского кодекса РФ

(ГК РФ). А общие принципы антимонопольных исключений сформулированы в ст. 10 ГК РФ.

4 Подробнее об экономической теории прав собственности см.: Шаститко, 2010а.

5 В данном разделе обсуждаются главным образом вопросы, связанные со снижением издержек в результате технологических нововведений.

6 В пределе достигая 100-процентной доли рынка в случае полного вытеснения конкурентов.

7 Подробнее см.: Aghion et al., 2005. P. 702-703.

8 По сути, данная идея отражена в ст. 13 российского закона «О защите конкуренции», что аналогично, например, содержанию ч. 3 ст. 101 Договора о функционировании Европейского союза, принятого в 2009 г.

9 Отметим, что данный тезис как предпосылку можно ослабить в результате двух уточнений: дифференциации продукта (в том числе посредством продуктовой инновации); корректировки допущения относительно стратегий, в частности, представления взаимодействия фирм по Курно (см., например: Shastitko, Kurdin, 2013).

10 Ответ на данный вопрос можно получить в результате исследования сопоставимого рынка в условиях конкуренции (в данном случае — ретроспективного), что предусмотрено нормами российского закона «О защите конкуренции».

11 Возможно, что стимулы к созданию РИД со специфицированными и защищенными правами собственности на них могут не быть решающими, если а) сами РИД являются побочным — непредвиденным ex ante — результатом действий, направленных на достижение иных целей; б) процесс обладает самостоятельной ценностью наряду с РИД. Например, применительно к работе над программами с открытым исходным кодом Дж. Лернер и Дж. Тироль выделяют три составляющие мотивации, которые лишь отчасти и опосредованно имеют отношение к материальным стимулам: удовольствие; вопросы карьеры; удовлетворение от признания другими работниками (Lerner, Tirole, 2002). Однако вопрос о том, в какой мере отсутствие стимулов, обусловленных ожидаемым материальным результатом, замещается иными формами мотивации, в данной работе не обсуждается.

12 Данный вид объекта интеллектуальной собственности — самый популярный среди исследователей. Однако наряду с патентами существуют авторские права, а также средства индивидуализации производителей и производимой ими продукции, обладающие особенностями, которые не позволяют делать общезначимые выводы (Авдашева и др., 2013).

13 Как правило, данный режим рассматривают в связи с установлением отраслевых стандартов, соблюдение которых предполагает доступ к важным для этих целей патентам, обладателями которых выступают участники рынка.

14 В более сложных случаях можно говорить о частичном размывании прав.

15 Информацию о других альтернативах (создании и использовании РИД в режиме коммерческой тайны), а также более полном наборе структурных альтернатив см. в: WIPO, 2011. Р. 85; Cohen et al., 2000; Gallini, Scotchmer, 2002.

16 Отметим, что в ретроспективе система призов (в широком смысле) обладала приоритетом перед системой исключительных прав, что во многом определялось сравнительно простой и прямолинейной связью между хозяйственной практикой и созданием РИД (Розенберг, Бирдцелл, 1995. С. 254-255).

17 Хотя в дискуссиях используются термины «свободный доступ» и «открытый доступ» с разным содержанием, особенно применительно к программному обеспечению, в данной работе упомянутые термины считаются синонимами. Основная идея состоит в отсутствии ограничений доступа. Право на изменение «начинки» первоначального РИД не рассматривается.

18 Такая ситуация возможна, в частности, в сфере разработки различного рода программ, когда РИД, по сути, неотделим от произведенного продукта.

19 Ситуация особенно обостряется, если у обладателя нет привлекательной альтернативы в виде возможности самостоятельной коммерциализации РИД.

20 В российском законодательстве также предусмотрена возможность принудительного лицензирования, согласно ст. 1239 ГК РФ. Подробнее условия применения принудительных лицензий описаны, например, в ст. 1362 «Принудительная лицензия на изобретение, полезную модель или промышленный образец», а также в ст. 1423 — в отношении прав на селекционные достижения. Вопросы принудительного лицензирования в странах с развивающейся рыночной экономикой рассмотрены в: Goldberg, 2010; Reichman, 2009; Stiglitz, 2008.

21 В смысле, что ex ante неизвестно, будет ли применен указанный режим к данному РИД.

22 Такая возможность существует потому, что оценки результатов контролирующими органами и конечными потребителями товаров, созданных с использованием соответствующего РИД, могут различаться, особенно если первые по тем или иным причинам не учитывают конечные эффекты создания и использования РИД. В свою очередь, вполне возможна ситуация с идеальной отчетностью по РИД, но практически нулевыми перспективами внедрения, в том числе из-за бесполезности в плане улучшения характеристик товаров или технологий.

23 Если оценка награды производится на основе статистики продаж и изменения цены, то есть учитывает рыночные факторы, то системы могут быть эквивалентными. Однако такая возможность чаще теоретическая именно потому, что для обеспечения эквивалентности необходимо администрирование с разумными издержками (см. выше).

24 Как показывают другие исследования, систему «патент на полке» можно использовать в определенной ситуации, когда нововведения целиком зависят от обладания такого рода патентом. Однако в случае множественности патентов они могут быть использованы как инструмент принуждения конкурентов к переговорам (см.: Cohen et al., 2000).

25 Речь идет о крупных российских нефтяных компаниях, которые в период с 2008 по 2011 г. неоднократно становились объектами антимонопольных расследований и участниками судебных дел.

26 Напомним, что, согласно п. 4. ст. 10 закона «О защите конкуренции», требования о запрете злоупотребления доминирующим положением не распространяются на действия по осуществлению исключительных прав на результаты интеллектуальной деятельности и приравненные к ним средства индивидуализации юридического лица, продукции, работ или услуг. Соответственно в п. 9. ст. 11 того же закона указано, что требования о запрете ограничивающих конкуренцию соглашений не распространяются на соглашения о предоставлении и (или) об отчуждении права использования результата интеллектуальной деятельности или средства индивидуализации юридического лица, продукции, работ или услуг.

27 http: у izvestia.ru/news/ 543396#ixzz2IsQYyPpW.

28 В данном случае используется термин, который возник в результате определенной инерции механизма публичного обсуждения изменений в антимонопольном законодательстве.

29 В связи с этим актуален вопрос об оценке складывающейся практики применения сравнительно новой нормы ГК РФ, изложенной в ст. 1362: «Предоставление в соответствии с правилами настоящего пункта принудительной простой (неисключительной) лицензии на использование изобретения, относящегося к технологии полупроводников, допускается исключительно для его некоммерческого использования в государственных, общественных и иных публичных интересах или для изменения положения, которое в установленном порядке признано нарушающим требования антимонопольного законодательства Российской Федерации» (курсив мой. — А. Ш.).

30 По аналогии со специфическими активами специфические во времени действия должны обладать следующим свойством: чистый выигрыш будет больше, если это действие совершается в определенный момент времени в соответствии с принципом «сегодня рано, а завтра поздно».

31 Речь идет о рейтинге эффективности конкурентных ведомств Global Competition Review.

32 США это Антимонопольное руководство по лицензированию интеллектуальной собственности, а в ЕС — Положение о групповых исключениях применительно к передаче технологий.

33 На эту особенность ошибок I и II рода указано также в: Шаститко, 2013.

34 Если рассматривать ослабление защиты прав на РИД в законах как заменитель производства контрафактной продукции, то весьма показательна позиция Р. Берда (Bird, 2006), согласно которой международные нормы, в частности нормы TRIPS, продвигались США в страны BRICS прежде всего в интересах американских компаний, но существующее в этих странах контрафактное производство препятствует изъятию монопольной ренты производителями патентованных товаров.


Список литературы

Авдашева С. Б., Крючкова П. В. (2013). Почему издержки на контроль растут, а законы соблюдаются все хуже: экономический анализ применения административного права в России // ЭКО. № 4. С. 119 — 133. [Avdasheva S. В., Kryuch-kova P. V. (2013). Why Control Costs Grow and Laws Are Observed Still Worse: Economic Analysis of Administrative Legislation Implementation in Russia // EKO. No 4. P. 119-133.] Авдашева С. Б., Крючкова П. В., Плаксин С. М., Шаститко А. Е. (2013). Институт интеллектуальной собственности и инновационное развитие России // Интеллектуальная собственность и развитие общества: время прагматики. М.: Фонд «Сколково». Р. 9 — 50. [Avdasheva S. В., Kryuchkova P. V., Plaksin S. М., Shastitko A. Ye. (2013). Intellectual Property Rights and Innovative Development of Russia // Intellectual Property and Development of Society: The Time for Pragmatism. Moscow: Skolkovo Foundation. P. 9 — 50.]

Авдашева С. Б., Шаститко А. Е. (2009). Запрет на установление монопольно высокой цены: экономические основания, варианты и новации антимонопольного законодательства // Экономическая политика. № 2. С. 1 — 19. [Avdasheva S. В., Shastitko A. Ye. (2009). Prohibition of Monopolistic Pricing: Economic Foundations, Variants and Novelties of Antitrust Legislation // Ekonomicheskaya Politika. No 2. P. 1-19.]

Авдашева С., Шаститко A. (2011). Экономический анализ в делах о нарушении закона «О защите конкуренции» // Вопросы экономики. № 2. С. 122 — 139. [Avdasheva S., Shastitko А. (2011). Economic Analysis in Cases Settled According to the Law "On the Protection of Competition" // Voprosv Ekonomiki. No 2. P. 122-139.]

Авдашева С., Шаститко A. (2012). Международный антитраст: потребности, ограничения и уроки для Таможенного союза // Вопросы экономики. X? 9. С. 110-125. [Avdasheva S., Shastitko А. (2012). International Antitrust: Demand, Restrictions and Lessons for Customs Union // Voprosy Ekonomiki. No 9. P. 110-125.]

Авдашева С. Б., Шаститко А. Е., Дубиничева Н. В. (2011). Стандарты экономического анализа в делах о нарушении антимонопольного законодательства в России. М.: МАКС Пресс. [Avdasheva S. В., Shastitko A. Ye., Dubinicheva N. V. (2011). Standards of Economic Analysis in Russian Antitrust Cases. Moscow: MAKS Press.]

Кокорев P. А., Шаститко A. E. (ред.) (2006). Использование оценок регулирующего воздействия для совершенствования корпоративного законодательства. М.: Теис. [Kokorev R. A., Shastitko A. Ye. (eds.) (2006). The Regulatory Impact Assessment Use for Development of Corporate Legislation. Moscow: Teis.] Радченко Т. А., Авдашева С. Б., Кур дин А. А., Шаститко А. Е. (2013). Практика и возможные последствия антимонопольной регламентации торговой политики частной компании. М.: МАКС Пресс. [Radchenko Т. A., Avdasheva S. В., Kurdin A. A., Shastitko A. Ye. (2013). The Practice and Possible Consequences of Antitrust Trade Practice of Private Company Reglamentation. M.: MAKS Press.] Розенберг H., Бирдцелл JI. Е.-мл. (1995). Как Запад стал богатым. Экономическое преобразование индустриального мира. Новосибирск: Экор. [Rosenberg N., Birdzell L. Е. Jr. (1995 [1986]). How The West Grew Rich: The Economic Transformation of the Industrial World. Novosibirsk: Ekor.] Тироль Ж. (2000). Рынки и рыночная власть: теория организации промышленности. 2-е изд. СПб.: Экономическая школа, Т. 2. [Tirole J. (2000 [1988]). The Theory of Industrial Organization. 2nd ed. St. Petersburg: Economicheskaya Shkola. Vol. 2.] Уильямсон О. (1996). Экономические институты капитализма. Фирмы, рынки, отношенческая контрактация. СПб.: Лениздат. [Williamson О. (1996 [1985]). The Economic Institutions of Capitalism. Firms, Markets, Relational Contracting. St. Petersburg: Lenizdat.] Хайек Ф. фон (1989). Конкуренция как процедура открытия ,/ МЭиМО. Л? 12.

[Hayek F. A. von (1989). Competition as a Discovery Procedure // MEiMO. No 12.] Шаститко A. (2006). Достоверные обязательства в контрактных отношениях // Вопросы экономики. № 4. С. 126 — 143. [Shastitko А. (2006). Credible Commitments in Contract Relations // Voprosy Ekonomiki. No 4. P. 126 — 143.] Шаститко A. E. (2010a). Новая институциональная экономическая теория. 4-е изд. М.: Теис. [Shastitko A. Ye. (2010а). The New Institutional Economics. 4lh ed. Moscow: Teis.]

Шаститко A. (2010b). «Сопоставимые рынки» как инструмент антимонопольной политики // Вопросы экономики. № 5. С. 96 — 109. [Shastitko A. (2010b). "Comparable Markets" as an Instrument of Antimonopoly Policy // Voprosy Ekonomiki. No 5. P. 96-109.] Шаститко A. (2012). Быть или не быть антитрасту в России? // Экономическая политика. No 3. С. 50—70. [Shastitko А. (2012). Antitrust in Russia: То Be or not to Be? // Ekonomicheskaya Politika. No 3. P. 50—70.]

Шаститко А. Е. (2013). Экономические эффекты ошибок в правоприменении и право-установлении. М.: Дело. [Shastitko A. Ye. (2013). Economic Effects of Errors in Rules Enforcement and Enactment. Moscow: Delo.]

Шаститко А., КурдинА. (2012). Антитраст и защита интеллектуальной собственности в странах с развивающейся рыночной экономикой // Вопросы экономики. Nb 1.

C. 84 — 95. [Shastitko A., Kurdin А. (2012). Antitrust Policy and Intellectual Property Rights Protection in Emerging Markets // Voprosy Ekonomiki. No 1. P. 84 — 95.]

Aghion Ph., Bloom N., Blundell R., Griffith R., Howitt P. (2005). Competition and Innovation: An Inverted-U Relationship // Quarterly Journal of Economics. Vol. 120, No 2. P. 701-728.

Agrast M. D, Botero J. C., Ponce A. (2012). WJP Rule of Law Index. Washington,

D.C.: The World Justice Project.

Acemoglu D., Akcigit U. (2012). Intellectual Property Rights Policy, Competition and Innovation // Journal of the European Economic Association. Vol. 10, No 1. P. 1-42.

Ahn S. (2002). Competition, Innovation and Productivity Growth: A Review of Theory and Evidence // OECD Economics Department Working Papers. No 317.

Arrow K. (1962). Economic Welfare and the Allocation of Resources for Inventions // The Rate and Direction of Inventive Activity / R. Nelson (ed.). Princeton: Princeton University Press.

Avdasheva S., Kryuchkova P. (2013). 'Reactive' Model of Antitrust Enforcement: When Private Interests Run the Actions of Executive Authority (The Case of Russia) / The paper presented for the 11th annual International Industrial Organization Conference. http: //editorialexpress .com/conference/1ЮС2013/program/1ЮС2013. html#97.

Avdasheva S., Shastitko A. (2012). Rules on Retailer—Supplier Relationships in the Competition Policy of the Russian Federation: How and Why Misunderstanding Economics Threatens the Competitiveness of the Sector // CPI Antitrust Chronicle. No 2. July.

Bird R. (2006). Defending Intellectual Property Rights in the BRIC Economies // American Business Law Journal. Vol. 43, No 2. P. 317—363.

Blundell R., Griffith R., Reenen J. van (1999). Market Share, Market Value and Innovation in a Panel of British Manufacturing Firms // The Review of Economic Studies. Vol. 66, No 3. P. 529-554.

Carlton D. W., Perloff J. M. (1990). Modern Industrial Organization. N.Y.: Harper Collins Publishers.

Cohen W., Nelson R., Walsh J. (2000). Protecting Their Intellectual Assets: Appropri-ability Conditions and Why U.S. Manufacturing Firms Patent (or Not) // NBER Working Paper. No w7552.

Etro F. (2007). Competition, Innovation, and Antitrust. Berlin: Springer-Verlag.

Gallini N., Scotchmer S. (2002). Intellectual Property: When Is It the Best Incentive System? // Innovation Policy and the Economy. Vol. 2. P. 51—77.

Gilbert R., Newbery D. (1982). Preemptive Patenting and the Persistence of Monopoly // American Economic Review. Vol. 72. P. 514 — 526.

Goldberg P. (2010). Intellectual Property Rights Protection in Developing Countries: The Case of Pharmaceuticals: Alfred Marshall Lecture // Journal of the European Economic Association. Vol. 8, No 2 — 3. P. 326 — 353.

Lerner J., Tirole J. (2002). Some Simple Economics of Open Source // The Journal of Industrial Economics. Vol. 50, No 2. P. 197-234.

Nordhaus W. D. (1969a). Invention, Growth, and Welfare: A Theoretical Treatment of Technological Change. Cambridge, MA: MIT Press.

Nordhaus W. D. (1969b). An Economic Theory of Technological Change // American Economic Review, Papers and Proceedings. Vol. 51. P. 18—28.

Reichman /. (2009). Intellectual Property in the Twenty-First Century: Will the Developing Countries Lead or Follow? // Houston Law Review. Vol. 46, No 4. P. 1115-1185.

Scotchmer S. (2005). Innovation and Incentives. Cambridge, MA: MIT Press.

Shastitko A. (2011). Collective Dominance through the Lens of Comparative Antitrust // Antitrust Chronicle. Vol. 8, No 2.

Shastitko A., Kurdin A. (2013). Structural Alternatives of Intellectual Property Rights Protection & Antitrust Balancing / The paper presented for the 11th annual International Industrial Organization Conference. http://editorialexpress.com/cgi-bin/ conference/download. cgi?db_name=IIOC2013&paper_id=254.

Shavell S., Ypersele Т. V. van (2001). Reward vs. Intellectual Property Rights // Journal of Law and Economics. Vol. XLIV, October. P. 525 — 547.

Stephan P. (1996). The Economics of Science // Journal of Economic Literature. Vol. 34. P. 1199-1235.

Stiglitz J. (2008). Economic Foundations of Intellectual Property Rights // Duke Law Journal. Vol. 57. P. 1693-1724.

Vives X. (2008). Innovation and Competitive Pressure // Journal of Industrial Economics. Vol. 56, No 3. P. 419-446.

WIPO (2011). World Intellectual Property Report 2011: The Changing Face of Innovation / World Intellectual Property Organization.

World Economic Forum (2012). The Global Competitiveness Report 2012 — 2013 / K. Schwab (ed.).