Экономика » Анализ » Кризис рубля в декабре 2014 года

Кризис рубля в декабре 2014 года

Рубрика - Анализ

Обижаева А.А.
PhD
профессор Российской экономической школы


В середине декабря 2014 г. произошло резкое падение российского рубля относительно других валют. Курс доллара по отношению к рублю поднялся почти на 38% с 58 руб. на момент открытия торгов 15 декабря до 80 руб. днем 16 декабря. Уже 17 декабря к закрытию торгов курс доллара опустился до 60 руб. На рисунке изображена динамика курса доллара в рублях и дневных объемов торгов в спот-сделках с сентября по декабрь 2014 г. Для всех дат показаны значения курса доллара на конец дня, а для 16 декабря — максимальный внутридневной курс доллара (80 руб.)1.

Особенностями кризиса были скорость снижения курса российской валюты и его кратковременность. Кризис продемонстрировал нестабильность финансовых торговых систем, привел к повышению недоверия участников финансового рынка и инвесторов к регуляторам, а также к росту беспокойства среди населения. Необходимо детально разобраться в том, что произошло, определить реальные причины кризиса и принять меры, которые позволят предотвратить подобные ситуации в будущем.

Динамика курса доллара в рублях и дневные объемы торгов в спот-сделках

Для анализа декабрьских событий мы используем теорию микроструктуры рынка (раздел финансовой экономики, посвященный изучению ликвидности) и показываем, что основной причиной валютного кризиса скорее всего была продажа рублей в объеме примерно 6-9 млрд долл., причем 4 млрд из них было куплено у Банка России во время валютных интервенций, а 2-5 млрд приобретено на валютном рынке в течение короткого периода времени (нескольких дней).

Падение рубля могли усугубить несколько дополнительных факторов. Во-первых, некоторые крупные участники рынка могли торговать «на опережение», либо заранее зная о трансакциях, либо предугадав их и тем самым снижая курс рубля. Во-вторых, негативное влияние на курс могли оказать экспирация (наступление даты истечения срока действия) нескольких биржевых и внебиржевых деривативных контрактов в понедельник 15 декабря. Другие гипотезы о причинах кризиса — самосбывающиеся прогнозы, резкое изменение психологии, влияние торговых роботов, изменение цен на нефть и атака на национальную валюту — маловероятны.

Валютный кризис не был вызван фундаментальными проблемами в экономике, и резкое изменение цен полностью скорректировалось в течение нескольких дней. В 2014 г. экономика России была намного прочнее, чем в 1990-е годы. Хотя курс рубля естественно ослабевал с конца июня 2014 г. из-за сильного падения цен на нефть, не было причин ожидать такую резкую девальвацию рубля и паниковать. Похожие кризисы происходили в прошлом и в других странах. Например, интересны выводы и оценки, содержащиеся в документах, составленных по результатам расследований причин похожих кризисов в США в октябре 1987 г. (U.S. Presidential Task Force, 1988) и в мае 2010 г. (Staffs of the CFTC and SEC, 2010).

Валютный рынок РФ

На российском рынке валюты существует несколько основных инструментов. Валюта торгуется как на биржах, так и вне их.

Спот-сделки

Основным инструментом валютной торговли на Московской бирже являются спот-сделки по курсу Today с поставкой валюты в день заключения сделки, спот-сделки по курсу Tomorrow с поставкой валюты на следующий день и спот-сделки по курсу Spot с поставкой на второй день после проведения торгов. Контракты по курсу Tomorrow самые ликвидные из этих инструментов. По курсам Today, Tomorrow и Spot происходит соответственно около 25%, 75 и менее 1% трансакций в виде спот-сделок. Общий объем торгов в спот-сделках составляет примерно 5 млрд долл. в день. Объем торгов в сделках по курсу Tomorrow показан на рисунке.

На Московской бирже можно заключать форвардные сделки (сделки продажи/покупки валюты с датой поставки в будущем по курсу, зафиксированному сегодня) и с более дальними датами поставки — до одного года, сочетая спот-сделки и свопы. Валютные свопы, по сути, являются комбинацией покупки с помощью спот-сделки и продажи с помощью форвардной сделки. Иностранная валюта покупается по спот-сделке и продается через определенный срок, а парная валюта, наоборот, продается по спот-сделке и покупается через тот же срок; прямая и обратная сделки заключаются с одним контрагентом; курсы, даты валютирования и способы платежей фиксируются в момент заключения сделки. На Московской бирже существует набор свопов с датой исполнения ближней сделки сегодня или завтра и с возможными датами исполнения обратной сделки до одного года.

Помимо использования в синтезе форвардных сделок, свопы также удобны для хеджирования валютных рисков и переноса («roll over») позиций во времени. Например, если участники рынка сегодня имеют открытую короткую позицию по долларам, но заключают сделку своп USD_TOD1M (покупка долларов с поставкой сегодня и их продажа через месяц), то они тем самым закрывают свою открытую короткую позицию в долларах и переносят валютные риски на следующий месяц. Во время валютного кризиса сделки своп могли использоваться для сглаживания дисбалансов.

Рынок валютных фьючерсов и опционов

На Московской бирже также торгуются расчетные фьючерсные контракты на курс доллара США к рублю с датой поставки в сентябре (SiU), декабре (SiZ), марте (SiH) и июне (SiM). Последним днем, когда можно совершать сделки по этим контрактам, обычно является 15-е число соответствующего месяца. Объем торгов на фьючерсном рынке составляет несколько миллиардов долларов в день. Кроме того, на бирже торгуются опционы на фьючерсные контракты на курс доллара США к рублю с поставкой каждый месяц. Их наименования расшифровываются по определенному правилу. Например, «SM2.14M151214CA 38000» означает, что базовым активом данного контракта является фьючерс SiZ4 с истечением срока действия в декабре 2014 г., опционный контракт «маржируемый» (М), срок его действия истекает 15 декабря 2014 г., тип контракта — американский колл-опцион (это опцион на покупку) с ценой исполнения 38 тыс. руб. Контракт дает право купить 1000 долл. за 38 тыс. руб. в любой день до 15 декабря 2014 г. включительно вне зависимости от курса доллара на бирже.

В понедельник 15 декабря 2014 г. произошла экспирация фьючерсных контрактов SiZ4 и опционов на эти фьючерсные контракты. Как показано ниже, этот фактор мог оказать влияние на курс рубля во время валютного кризиса.

Международные и внебиржевые площадки

Российская валюта торгуется не только на Московский бирже, но и на торговых площадках в Чикаго и Лондоне. Объемы торгов на этих площадках незначительны по сравнению с объемами торгов в Москве и вне биржи. На этих площадках не наблюдалось значительного увеличения объема торгов во время кризиса.

Внебиржевой валютный рынок — один из самых сложных и непрозрачных рынков в мире. Примером платформ, на которых происходят внебиржевые трансакции, могут быть электронные площадки EBS и Reuters matching. По мнению участников рынка, объем торгов на этих площадках составляет примерно 7-8 млрд долл. и 2-3 млрд долл. в день соответственно. Сделки могут совершаться напрямую между двумя контрагентами, минуя торговые площадки.

Внебиржевые валютные сделки практически не контролируются международными регуляторами. Из доклада Банка международных расчетов (BIS), который раз в три года проводит анализ внебиржевого рынка, следует, что средний объем торгов на этом рынке по всем валютным парам равен примерно 5,3 трлн долл. в день (по данным на апрель 2013 г.). В валютной паре USD/RUB внебиржевые трансакции составляют примерно 85 млрд долл. в день. Часть трансакций составляют спот-сделки (37 млрд долл. в день), а другую — свопы (37 млрд долл. в день) (BIS, 2013).

На момент кризиса не существовало требований обязательной регистрации и публикации данных о внебиржевых валютных сделках, поэтому любой анализ событий декабря 2014 г. сталкивается с проблемой отсутствия данных, что не позволяет воссоздать общую картину событий. Эти проблемы будут решены по мере включения внебиржевого валютного рынка в регулятивное поле.

Причины валютного кризиса

Основная версия: большая заявка на покупку долларов

Наиболее вероятной причиной валютного кризиса в декабре 2014 г. было исполнение на рынке в течение нескольких дней очень большой заявки на покупку долларов (или продажу рублей). Эта заявка «выбрала» всю имеющуюся на рынке валютную ликвидность и привела к падению курса рубля. Заявка могла быть проведена и не как прямая покупка валюты, например в форме займа с помощью комбинации деривативных контрактов.

События 16 декабря оказались остаточной реакцией рынка на проведение большой трансакции. Ко вторнику 16 декабря вся долларовая ликвидность уже была выбрана с рынка. Книга заявок была не сбалансирована, в ней уже почти не было заявок на продажу долларов, поэтому любые трансакции на покупку долларов неизбежно приводили к большим изменениям цен. Днем 16 декабря курс доллара вырос до 80 руб.

Уже к закрытию торгов 17 декабря курс снизился до 60 руб. за доллар. Именно тогда стали доступны дополнительные средства с валютных аукционов РЕПО, проведенные Банком России в понедельник 15 декабря, которые, скорее всего, помогли погасить дисбалансы в системе. Объем торгов в валютных инструментах не был необычным в середине декабря по сравнению с предыдущими месяцами. Даже во время резкого колебания курса рубля 16 декабря объем торгов на Московской бирже был незначительным.

Чтобы определить причины кризиса, необходимо детально изучить изменение позиций по отдельным счетам, уделяя особое внимание большим игрокам. Необходимо проанализировать не объемы торгов, а дисбалансы в потоке заявок. Объемы торгов и дисбалансы — это разные параметры. Иногда объемы торгов могут быть очень большими, а дисбалансы — маленькими (при сбалансированности заявок на покупку и продажу). В другие дни объемы торгов могут быть обычными, а дисбалансы — существенными (при большой разнице между количеством заявок на покупку и на продажу).

Подобный анализ изменения позиций скорее всего покажет, что именно на середину декабря пришлось необычно большое изменение позиций у некоторых участников рынка. Это будет указывать на исполнение большой заявки на покупку долларов. Данные с информацией по конкретным счетам доступны только регуляторам, по причинам конфиденциальности их нет в открытом доступе.

Курс доллара, размер заявки и скорость ее исполнения

Какого размера должна быть заявка на продажу рублей, чтобы она привела к большим колебаниям курса доллара? Подобные вычисления можно делать на основе моделей трансакционных издержек, существующих в теории микроструктуры финансовых рынков. Для подобных расчетов обычно необходимо знать параметры рынка, размер заявки и скорость ее исполнения. Большие заявки, которые быстро исполняются на неликвидных рынках, обычно приводят к более сильному изменению цен, чем маленькие заявки, которые медленно исполняются на ликвидных рынках.

Ниже приведены расчеты, сделанные на основе теории инвариантности микроструктуры рынка (Kyle, Obizhaeva, 2016а). Теория основана на идее о том, что, несмотря на свое разнообразие, все финансовые рынки работают на основе одинаковых фундаментальных законов и различаются только скоростью операций. На ликвидных рынках с большим количеством участников и трансакций все процессы происходят очень быстро, а на неликвидных рынках — медленно. В обычном календарном времени рынки очень разные, но в «бизнес»-времени все они будут похожи2.

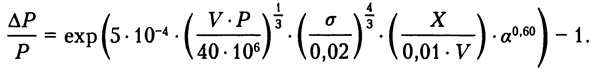
Используя теорию инвариантности и эмпирические результаты о влиянии скорости исполнения заявки на изменение цен, можно вывести следующую формулу. Исполнение заявки на продажу размером X со скоростью в α раз быстрее, чем обычно, на рынке с дневным объемом торгов V, ценой Р и дневной волатильностью σ приведет к изменению цен ΔР/Р равному:

Формула изменения цен на заявки

Эта формула является следствием теории инвариантности. Константа откалибрована на основе данных о трансакционных издержках (Kyle, Obizhaeva, 2016а), которые наблюдались при исполнении заявок институциональных инвесторов на рынке американских акций с 2001 по 2005 г.3 Оцененная константа соответствует изменению цен при исполнении заявки, по размеру равной 1% дневного объема торгов на рынке с объемом торгов 1 млн контрактов в день, ценой 40 долл. за акцию и волатильностью 2%. Формула позволяет экстраполировать откалиброванную константу с этого гипотетического рынка на любые другие рынки с различными объемами торгов V, ценами Р и волатильностью σ. Концептуально эта формула должна быть применима как в обычное время, так и в период кризисов. Данную методологию уже стали применять регуляторы американских финансовых рынков для оценок и мониторинга системных рисков4.

Базовая формула (Kyle, Obizhaeva, 2016а) предполагает, что заявка исполняется за «естественный» промежуток времени, то есть таким образом, чтобы рынок успевал ее «переварить» и она не вызвала слишком сильное изменение цен (а = 1). Но еще одним важным параметром, определяющим величину изменения цен при исполнении заявки, является скорость ее исполнения. Считается, что заявки одинакового размера, но исполненные за разные промежутки времени, окажут различное воздействие на цены и поэтому будут сопровождаться разными трансакционными издержками. Например, исполнение заявки за несколько дней будет дороже, чем исполнение той же заявки за несколько недель. Слишком быстрое исполнение больших заявок приводит к тому, что рынок не успевает их «переварить», и это вызывает всплески в ценах. Изменение цен, вызванное слишком быстрым исполнением больших заявок, обычно кратковременно. Цены стабилизируются, когда участники рынка осознают, что не произошло никаких реальных важных изменений, и равновесие на рынке восстанавливается.

Здесь следует упомянуть некоторые оценки для мини-кризиса на американском рынке 6 мая 2010 г. Этот кризис получил название «флэш-крэш» (flash crash). Он был вызван исполнением большой заявки на продажу индексных фьючерсов S&P 500 E-mini фирмой «Waddell and Reed». Колебания цен тогда были в 10 раз больше, чем предсказывается в теории инвариантности для случая, когда исполнение заявки происходит с естественной скоростью (5% в данных вместо 0,6% в теории) (Kyle, Obizhaeva, 2016b). Известно, что большая заявка была исполнена в несколько раз быстрее, чем обычно исполнялись на рынке фьючерсов заявки похожего размера. Похожие заявки обычно исполнялись примерно за 6 часов, а 6 мая 2010 г. заявка была исполнена всего за 40 минут. Исполнение заявки в 10 раз быстрее, чем обычно, привело к изменению цен, которое по масштабу также оказалось примерно в 10 раз больше обычных. Но эти изменения были кратковременными, и цены вернулись к первоначальному уровню уже через 20 минут после начала мини-кризиса.

Вопрос о влиянии скорости исполнения заявки на величину изменения цен в науке изучен мало. Известно, что слишком быстрое исполнение заявок может существенно увеличить глубину падения цен. В некоторых теоретических моделях показано, что увеличение скорости исполнения заявки в а раз увеличит изменение цен примерно в а раз (Kyle et al., 2014), а согласно эмпирическим исследованиям цены увеличатся примерно в а0,6 раз (Almgren et al., 2005). Исходя из этого, можно оценить, что исполнение большой заявки в 10 раз быстрее обычного может дополнительно увеличить изменение цен примерно в 10 или 100,6 раз (в 4 раза). Далее мы будем предполагать, что изменение скорости в а раз приведет к изменению цен в а0,6 раз5.

Таблицы оценок потенциального изменения курса доллара

Как меняются теоретические оценки изменения курса в зависимости от возможных размеров заявки на продажу рублей и скорости ее исполнения? Наши расчеты по формуле, представленной выше, очень приблизительны и основаны на оценочных предположениях. Их результаты представлены здесь, чтобы примерно оценить размер заявки.

При вычислении изменения курса доллара сделаны следующие предположения о входных параметрах. Во-первых, средний объем дневных торгов на рынке российской валюты принимается равным 10 млрд долл. (средний объем торгов в спот-сделках и фьючерсах на Московской бирже и объем внебиржевых трансакций на площадках EBS и Reuters matching за вычетом посреднических сделок и сделок по кросс-арбитражу). Волатильность дневных изменений цен составляет примерно 2%.

Во-вторых, необходимо оценить естественное время исполнения больших заявок на рынке российской валюты. Эти экспертные оценки также основаны на результатах теории инвариантности, в частности на следующих аргументах. Во время кризиса в США 6 мая 2010 г. на рынке индексных фьючерсов S&P 500 E-mini была исполнена большая заявка размером 4 млрд долл. Эта заявка была событием, масштаб которого больше медианы на 4,63 стандартных отклонения. Обычное время исполнения подобных заявок на американском рынке акций — примерно один день. Исходя из расчетов о распределении размера заявок, можно предположить, что сопоставимая сделка на рынке российской валюты будет составлять примерно 2 млрд долл., то есть больше медианы на 4,88 стандартных отклонения. Так как американский рынок акций работает примерно в 6 раз быстрее рынка российской валюты6, естественное время исполнения заявки размером 2 млрд долл. на рынке валюты составит около 6 дней. Если предположить, что естественное время исполнения заявок увеличивается пропорционально их размеру, то естественное время исполнения заявки 8 млрд долл. будет составлять примерно 24 дня (6 дней умноженные на 4), а заявки 3 млрд долл. — 9 дней (6 дней умноженные на 3/2).

В таблице 1 приведены результаты расчета зависимости изменения курса доллара ΔР/Р от размера заявки X и времени ее исполнения. Текущий курс доллара равен 58 руб., средний объем дневных торгов на валютном рынке 10 млрд долл., дневная волатильность σ = 2%. По строкам изменяется объем гипотетических заявок X от 1 млрд до 10 млрд долл. Во втором столбце представлен вычисленный естественный горизонт Т* исполнения заявки объема X. В третьем столбце представлены вычисления ожидаемого изменения цен для этого горизонта, то есть при α = 1. С четвертого по седьмой столбец скорость исполнения увеличивается относительно естественной скорости с 2 до 15 раз.

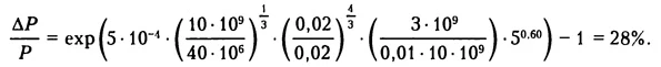
Например, в третьей строке и пятом столбце представлена теоретическая оценка изменения курса при исполнении заявки на покупку 3 млрд долл. за 1,8 дня (в α = 5 раз быстрее, чем естественный 9-дневный горизонт). Изменение курса доллара рассчитано по формуле:

Формула изменения курса доллара

Оценки изменения курса доллара увеличиваются с размером заявки (от первой до последней строчки) и со скоростью ее исполнения (от третьего до седьмого столбца).

Таблица 1

Изменение курса доллара в зависимости от размера заявки, времени и скорости ее исполнения (в %)

Размер заявки X (млрд долл.)

T*, дни

а = 1

а = 2

a = 5

a = 10

a = 15

1

3

3

5

9

13

17

2

6

7

10

29

38

3

9

10

15

28

46

62

5

15

17

27

51

87

122

8

24

29

47

94

173

259

10

30

37

61

129

250

395

Расчеты позволяют анализировать заявки, которые могли привести к росту курса на 38% в середине декабря 2014 г. Все сценарии, которые приводят к росту курса на близкие значения, выделены в таблице полужирным шрифтом: 2 млрд долл. за полдня, 3 млрд за 1-2 дня, 5 млрд за 3-8 дней, 8 млрд за 12-24 дня и 10 млрд долл. за 30 дней.

Приведенные выше расчеты показывают приблизительный диапазон ожидаемого изменения курса и сильно зависят от входных параметров. Формулы позволяют проверить, насколько оценки чувствительны к изменению входных параметров. Например, известно, что российский рынок находился в тревожном состоянии на фоне нестабильной обстановки в мире, неопределенности в экономической ситуации в стране и особенно после объявления о размещении облигаций российскими корпорациями. Так как показатели ожидаемой волатильности дневного курса (implied volatility) на 11 декабря были ближе к 3%, то, возможно, правильнее использовать при расчетах a=3%. Результаты расчетов при этом предположении представлены в таблице 2.

Таблица 2

Изменение курса доллара в зависимости от размера заявки, времени и скорости ее исполнения (в %, при а = 3%)

Размер заявки X (млрд долл.)

T*, дни

а = 1

а = 2

a = 5

а = 10

a = 15

1

3

6

9

15

24

32

2

6

11

18

33

54

73

3

9

18

28

53

91

128

5

15

31

51

103

193

295

8

24

54

93

212

460

800

10

30

72

127

314

761

1458

И вновь все сценарии, которые приводят к росту курса на значения, близкие к 38%, выделены в таблице полужирным шрифтом: 1 млрд долл. за несколько часов, 2 млрд за один день, 3 млрд за 4-5 дней и 5 млрд долл. за 15 дней.

В области микроструктуры рынка проблема оценки влияния трансакций на цены считается одной из основных, но получить более точные формулы на практике сложно. Основная причина в том, что оценки нужно делать на основе большого количества данных о реально исполненных заявках больших размеров, а эти данные обычно либо не существуют, либо конфиденциальны. Более того, практически во всех выборках существует проблема эндогенности, так как участники рынка выбирают размеры и стратегии исполнения заявок в зависимости от текущих условий на рынке (например, трейдеры обычно исполняют дешевые и отменяют дорогие заявки), поэтому многие из существующих оценок неточны.

Наши результаты показывают, что валютный кризис рубля мог быть вызван исполнением на рынке заявки на покупку долларов размером примерно 2-5 млрд, которая была выполнена всего за несколько дней, то есть в несколько раз быстрее, чем обычно. Соответствующие оценки изменения курса доллара при этом будут похожи на реальное изменение курса доллара на 38% (с 58 до 80 руб.), которое наблюдалось с 15 по 16 декабря. Например, изначально размер заявки мог быть равен 7 млрд долл., из которых 4 млрд предоставил Банк России через интервенции 12 и 15 декабря, а оставшиеся 3 млрд попали на рынок и были исполнены за несколько дней, то есть в 2-3 раза быстрее, чем обычно, тем самым вызвав краткосрочное изменение курса. Глубину падения курса могли усугубить и другие факторы.

Торговля «на опережение» и экспирация деривативов как дополнительные факторы

Несколько факторов могли дополнительно увеличить глубину падения курса во время валютного кризиса. Например, некоторые крупные участники рынка могли знать, что кому-то необходимо будет в короткие сроки купить доллары, чтобы хеджировать большую короткую позицию. Они могли либо сознательно придержать имеющиеся у них доллары, ограничивая их предложение на рынке 12 и 15 декабря, либо «играть на опережение» (front-running), то есть покупать доллары заранее с целью продать их позже покупателю по более высокой цене.

Кроме того, в середине декабря истек срок нескольких деривативных контрактов, прямо или косвенно связанных с валютными курсами. Понедельник 15 декабря был днем экспирации валютных фьючерсов, валютных опционов, а также фьючерсов и опционов на индекс РТС, рассчитываемый в долларах США. (Это дни «четырех ведьм» (quadruple witching days): они часто приводят к изменению структуры рисков, дисбалансам на рынке и дополнительной волатильности.)

На фоне острой нехватки долларовой ликвидности — из-за исполнения большой заявки на покупку долларов — трансакции, связанные с экспирациями деривативных контрактов, могли создать дополнительный кратковременный дефицит долларов на рынке. Во-первых, при изменении цен активов в районе цены исполнения (strike price) были возможны резкие изменения коэффициента хеджирования, особенно принимая во внимание короткий промежуток времени, оставшийся до истечения контракта. Во-вторых, экспирация расчетных деривативов может приводить к резким разбалансировкам позиций. Например, если у трейдера был долларовый риск из-за наличия расчетного дериватива, то при его экспирации этот риск исчезает, так как все выплаты происходят в рублях и долларовая позиция конвертируется в рублевую. Это может приводить к необходимости дополнительных трансакций по хеджированию новых позиций как в день экспирации (15 декабря), так и в следующий день. В-третьих, некоторые из деривативных трансакций могли быть связаны с внебиржевыми позициями; позже появились сообщения об убытках у некоторых российских компаний по внебиржевым опционам с привязкой к деривативам со сроком истечения 15 декабря7. Для анализа дополнительных факторов необходимо детально изучить динамику деривативных позиций основных участников валютного рынка.

Анализ действий Банка России

Банк России активно реагировал на происходящие события и в целом в сложившейся ситуации действовал адекватно, предоставив на рынок большое количество долларовой ликвидности. Эти действия позволили уже к концу 17 декабря уменьшить стресс на рынке долларовой ликвидности и устранить дисбаланс, который был создан в системе 12-15 декабря. (При других действиях Банка России валютный кризис мог быть более масштабным и долговременным.)

Во-первых, Банк проводил интервенции на внутреннем валютном рынке. В пятницу 12 декабря фактический объем продаж иностранной валюты на внутреннем валютном рынке составил 2,383 млрд долл.8 В понедельник 15 декабря фактический объем продаж иностранной валюты на внутреннем валютном рынке составил 1,961 млрд долл.9 Таким образом, 12 и 15 декабря Банк России предоставил на рынок через интервенции примерно 4,334 млрд долл.

Во-вторых, ночью 15 декабря Банк России объявил о повышении ключевой ставки на 6,5% — с 10,5 до 17%. Значительное и неожиданное повышение курса (механически) привело к сопоставимому понижению курса доллара. Курс доллара упал примерно на столько же процентов — с 65 до 60 рублей. Повышение ставки обычно используется для приостановки ослабления национальной валюты и снижения уровня инфляции; высокие процентные ставки могут в дальнейшем негативно повлиять на экономический рост.

В-третьих, Банк России провел несколько валютных аукционов РЕПО, которые позволили банкам привлечь большое количество иностранной валюты. Участники аукционов валютного РЕПО могли передать в Банк России в качестве обеспечения 151 еврооблигацию, а также другие ценные бумаги, входящие в Ломбардный список ЦБ, в том числе облигации компании Роснефть, незадолго до этого включенные в список10.

В понедельник 15 декабря Банк России провел аукцион РЕПО в иностранной валюте, на котором банки привлекли примерно 4,829 млрд долл. (из лимита 10 млрд) на срок 364 дня с датой предоставления средств 17 декабря 2014 г. Средневзвешенная ставка составила 1,1162% годовых, ставка отсечения — 1,1013% годовых. Кроме того, 15 декабря был проведен аукцион РЕПО в иностранной валюте на срок 28 дней с лимитом 1,5 млрд долл. и датой исполнения первой части 17 декабря. Банки привлекли 1,5 млрд долл. по ставке 2,9699%. Во вторник 16 декабря был проведен аукцион РЕПО в иностранной валюте на срок 6 дней с лимитом 2 млрд долл. и датой исполнения первой части в четверг 18 декабря. Банки привлекли 0,732 млрд долл. по ставке 1,5361%.

Банк России имел возможность проводить валютные свопы, введенные в сентябре 2014 г., которые позволяют банкам покупать доллары за рубли с обязательством обратной продажи через фиксированное время по определенным ставкам. Лимит на объем операций со сроками расчетов сегодня/завтра составлял 1 млрд долл., со сроками завтра/послезавтра — 2 млрд долл. На сайте Банка России нет информации о каких-либо существенных трансакциях по этим инструментам11.

Итого, к среде 17 декабря Банк России предоставил на рынок через валютные аукционы РЕПО дополнительно 6,329 млрд долл.12 Это был своего рода бридж-кредит долларовой ликвидности, предоставленный Банком России рынку, который не успевал самостоятельно «переварить» большую заявку на покупку долларов. Если учесть 4,334 млрд долл. интервенций 12 и 15 декабря, то получается, что Банк России предоставил на рынок в целом примерно 11 млрд долл.

Аукционы РЕПО в иностранной валюте оказались эффективным инструментом, который позволил достаточно быстро ввести долларовую ликвидность в систему и сгладить дисбалансы. В будущем необходимо работать над усовершенствованием этих механизмов, а также тщательно проанализировать оптимальное расписание аукционов, их дизайн и состав финансовых инструментов, которые могут быть использованы в качестве залога. Следует отметить, что своевременные действия Банка России в сложившейся ситуации помогли предотвратить панику населения, которое болезненно реагирует на сильные изменения курса рубля.

Анализ действий Московской биржи

Правилами торгов на валютном рынке Московской биржи не предусмотрена процедура приостановки торгов при значительных колебаниях валютного курса. Полномочия приостанавливать торги на бирже есть только у Банка России, который не воспользовался своими полномочиями во время валютного кризиса13.

Согласно правилам, приостановить или прекратить торги на Московской бирже можно «в случае возникновения обстоятельств, нарушающих или могущих нарушить нормальный порядок проведения торгов, к которым, в частности, относятся: технические сбои в работе средств проведения торгов (включая сбои в работе программного обеспечения); попытки несанкционированного доступа к средствам проведения торгов; сбои в работе систем связи, электроснабжения; обстоятельства непреодолимой силы; невозможность надлежащего функционирования Клирингового центра и/или иных организаций, деятельность которых влияет на возможность проведения торгов».

Торги приостанавливаются в связи с фактической невозможностью их проведения или но решению Биржи14.

Таким образом, на валютной бирже не существует запрограммированной автоматической приостановки торгов при слишком сильном изменении курса. Единственное, что может сделать Московская биржа в условиях высокой волатильности, — это изменять значения границ ценового коридора и ставок обеспечения по инструментам валютного рынка, что и было сделано несколько раз в середине декабря. Границы ценового коридора (верхняя и нижняя) устанавливают предельные отклонения значений курсов, указываемых участниками торгов в заявках, от величины центрального курса. Заявки участников по курсу, выходящему за пределы установленного ценового коридора, торговая система не принимает. Существующие механизмы расчета ценовых коридоров оказались неэффективными методами предотвращения резких колебаний курса.

Если бы на Московской бирже существовала более продуманная система автоматической приостановки торгов, то скорее всего всплеска курса доллара до 80 руб. за доллар днем 16 декабря можно было бы избежать. К началу торгов во вторник 16 декабря долларовая ликвидность на бирже была полностью исчерпана, а большая часть новой долларовой ликвидности, предоставленной Банком России, еще не была доступна. Несмотря на необоснованно высокий курс доллара, у большинства участников рынка не было иностранной валюты, которую они могли бы продать по явно высокому курсу и позже зафиксировать прибыль. Те же, у кого такая возможность была, не успели быстро сориентироваться.

Так как в книге заявок почти отсутствовали заявки на продажу долларов, то неудивительно, что даже небольшая заявка на покупку долларов в тот момент могла очень сильно изменить курс. Действительно, за исключением одного 5-минутного интервала днем 16 декабря, курс оставался ниже 74 руб. за доллар. Это еще раз подтверждает версию о «техническом» сбое в системе, который можно было бы избежать при продуманной системе автоматической приостановки торгов!

На мировых биржах существуют сложные правила приостановки торгов. Впервые эти правила были введены после кризиса на американском рынке в 1987 г., и с тех пор они постоянно совершенствуются15. Обычно торги приостанавливаются автоматически после больших изменений цен (например, если цена понижается больше, чем на фиксированное количество процентов — скажем, 10% — за определенный промежуток времени, например 5 минут). Иногда правила приостановки формулируются иначе.

На рынке индексных фьючерсов S&P500 E-mini в самой популярной в мире торговой системе Globex торги приостанавливаются, если одна из заявок «пробивает» сразу несколько ценовых уровней. Это правило можно проиллюстрировать на следующем примере. Если в нижней части книги заявок находится несколько заявок на продажу доллара — 1 контракт за 75 руб., 2 контракта за 75,0005 руб., 1 контракт за 75,0015 руб. и 1 контракт за 75,0020 руб., — то в этой ситуации исполнение заявки на покупку доллара в 5 контрактов приведет к повышению цены больше чем на четыре ценовых шага (который равен 0,0005 рублей в спот-сделках), и это событие послужит сигналом к автоматической приостановке торгов, к примеру, на 5 минут.

На мировых торговых площадках также существуют механизмы, которые позволяют приостанавливать торги синхронно для многих инструментов одновременно при сильном понижении общего рыночного индекса (DJIA или S&P500 Index). Например, на Globex действует несколько уровней приостановки торгов на 15 минут или до конца рабочего дня, если определенный индекс понижается больше чем на 10%, 20 или 30% (SFC, 2001).

Подобные механизмы нужно разработать и на Московской бирже. Они позволяют предотвратить панику на рынках и дают время участникам рынка, сотрудникам биржи и регуляторам, чтобы разобраться в ситуации и принять необходимые меры. Четко продуманная система будет способствовать более эффективной и надежной работе биржи в будущем. Механизмы приостановки торгов, возможно, должны быть синхронизированы на рынках различных финансовых инструментов. Если правила приостановки торгов будут заранее анонсированы, то их применение не должно вызывать панику.

При разработке механизмов автоматической приостановки торгов на бирже необходимо учесть богатый международный опыт, но при этом адаптировать его к особенностям российского рынка. Также необходимо лучше продумать методики расчета ценовых коридоров.

Анализ альтернативных версий

Для объяснения событий декабря 2014 г. были предложены и другие версии. Ниже описаны некоторые из них и объясняется, почему они маловероятны.

Версия 1: «самосбывающиеся пророчества»

Существует мнение, что кризис мог быть вызван «самосбывающимися пророчествами», или «эффектом ожиданий», что большой объем рублей попадет на рынок, тогда как реально подобных трансакций не было.

В четверг вечером 11 декабря были размещены облигации компании «Роснефть» со сроками обращения от 6 до 10 лет на 625 млрд руб. (примерно 10,76 млрд долл. по курсу 58 руб. за доллар, что сопоставимо с дневным объемом торгов в биржевых и внебиржевых спот-сделках — 10 млрд долл.). Заявки были собраны 10 декабря с 17:00 до 18:00 при посредничестве Всероссийского банка развития регионов, подконтрольного Роснефти16. Далее облигации были куплены несколькими российскими банками и включены в Ломбардный список Банка России17. Считается, что полученные компанией «Роснефть» рубли остались на счетах банков. Было также известно, что в воскресенье 21 декабря компания «Роснефть» должна была погасить свой внешний корпоративный долг, номинированный в долларах, в объеме примерно 7 млрд.

Сразу после объявления о сделке 11 декабря появились опасения, что у Роснефти, скорее всего, не хватит долларовой ликвидности на счетах для погашения корпоративного долга. Это могло произойти по нескольким причинам. Во-первых, компания могла получить меньше долларовой выручки, чем планировалось, из-за падения цен на нефть. Во-вторых, некоторые запланированные долларовые трансакции могли быть неожиданно частично заблокированы или стать более рискованными из-за санкций.

Ожидалось, что если Роснефть конвертирует все привлеченные рублевые средства в валюту, то это обрушит курс. По словам начальника дилингового центра Металлинвестбанка С. Романчука, «в последние дни весь объем торгов на валютном рынке составлял 4-5 млрд долл., купить 10 млрд просто не у кого, если только не у Банка России». Он предполагал, что сделка была проведена с условием не покупать на эти рубли валюту, потому что «в противном случае курс рубля за два дня может опуститься до 100 рублей за доллар»18.

А. Кудрин позже озвучил версию об ожиданиях. Он отмечал, что рынок «негативно разогрела непрозрачная сделка» Роснефти; размещение облигаций Роснефти на рекордную сумму в период быстрой девальвации рубля породило на рынке опасения еще большего ослабления рубля из-за возможного перевода этой суммы в доллары. По его словам, «были заявления, что эти деньги не выходили на рынок, но это стало известно позже», поэтому «был эффект ожидания, что курс изменится»19.

Действительно, в понедельник 15 декабря представители компании «Роснефть» заявили, что «компания генерирует достаточный денежный поток в иностранной валюте для того, чтобы осуществлять текущие платежи по своим кредитным обязательствам. Привлечение рублевых облигационных займов производится исключительно для финансирования проектов на территории России. До необходимости расчетов в ходе реализации инвестпроектов компании в текущем и последующем годах все рублевые средства будут находиться на рублевых депозитах уполномоченных банков: их использование для приобретения валюты не предусмотрено ни кредитными соглашениями, ни планами компании. Таким образом, ни один рубль, привлеченный в рамках программы размещения облигационных займов, не будет использован для приобретения иностранной валюты»20.

Могли ли ожидания продажи рублей вызвать такое резкое падение курса рубля? Объяснения, основанные на ожиданиях, вряд ли состоятельны. Непрозрачность сделки и неопределенность с тем, что произойдет с огромной суммой в рублях, действительно значительно повысили риски и общий уровень беспокойства участников рынка, но одни только ожидания не могли бы привести к столь сильному снижению курса рубля.

Эффект ожиданий часто упоминается при обсуждении кризисов в макроэкономике, но эта интуиция работает по-другому на высоких частотах. Макроэкономические кризисы во многом отличаются от кризисов, вызванных исполнением больших заявок на финансовых рынках. Они происходят в течение месяцев, лет и даже десятилетий, а кризисы, о которых идет речь здесь, происходят в течение минут, часов и дней. На таких частотах ожидания небольших участников рынка просто физически не успели бы сформироваться, синхронизироваться и материализоваться в продажу рублей огромных объемов. Крупные участники рынка вряд ли открыли бы такие огромные рискованные (и очень дорогие) короткие позиции в рублях, основываясь лишь на своих ожиданиях, без каких-либо реальных подтверждений своих догадок в трансакциях, наблюдаемых на рынке, и в информации, полученной из своих личных источников, на которые можно было бы положиться.

Если предположить, что многие участники рынка действительно ожидали, что Роснефть будет конвертировать привлеченные рублевые средства в валюту, то конкретная формализация таких ожиданий могла принять разные формы. Во-первых, некоторые могли считать, что компания будет конвертировать все полученные средства, другие — что только часть из них, третьи — что не будет их конвертировать вовсе. Во-вторых, участники рынка могли расходиться в оценках того, насколько эти трансакции изменят курс рубля; такие оценки очень сложны, и не существует общепринятых стандартов и методологий их построения; многое зависело от конкретных параметров и формы функции трансакционных издержек (price impact function); разные подходы обычно дают разные оценки, особенно для заявок больших размеров. В-третьих, участники рынка могли также разойтись во мнениях о том, будет изменение курса постоянным или временным. В-четвертых, динамика курса доллара в ближайшие дни зависела бы и от конкретной стратегии «продажи» рублей, в том числе от того, насколько быстро исполнялась заявка. Таким образом, накануне событий ожидания участников рынка могли быть очень разными, и их планы действий поэтому должны были сильно различаться в зависимости от конкретных ожиданий.

Ожидания землетрясения не могут разрушить дом, если самого землетрясения на самом деле не было. Сложно представить конкретный механизм того, как ожидания кризиса снижают курс, механизм, который на микроуровне — от трансакции к трансакции, от секунды к секунде — мог бы объяснить развитие событий на российском валютном рынке в те дни.

Версия 2: случайные изменения психологии

Некоторые комментаторы считают, что изменение курса могло произойти из-за случайных изменений психологии, не основанных на адекватной экономической информации и рациональном поведении. Похожие рассуждения предлагались и для объяснения кризисов в прошлом. Например, Дж. М. Кейнс в «Общей теории...» писал, что многие действия на финансовом рынке представляют собой результат спонтанной решимости действовать («animal spirits»). Похожие идеи отстаивают Дж. Акерлоф и Р. Шиллер (Akerlof, Shiller, 2009). Шиллер провел опрос трейдеров после кризиса 1987 г. и пришел к выводу, что большинство инвесторов объясняют его особенностями психологии других инвесторов (Shiller, 1987).

Эта версия также маловероятна. Психологические установки — и сопряженное с ними общественное мнение — обычно инертны, и их изменения не могут поднять курс на 40% за один день и опустить его на следующий день, особенно в отсутствие катаклизмов и форс-мажорных обстоятельств, которые оказали бы очень сильное влияние на каждого человека. Если бы высокий курс доллара продержался дольше, это могло бы начать оказывать влияние на более широкие массы людей и привело бы к панике среди населения, с которой было бы трудно справиться.

Версия 3: действия торговых роботов

Последнее время большая часть трансакций на рынке осуществляется с помощью алгоритмических систем и компьютеров. Компьютерами пользуются все участники рынка и на Московской бирже — дилеры, маркет-мейкеры, арбитражеры, инвесторы. На рынке также торгуют высокочастотные трейдеры, которые пытаются заработать прибыль, используя быстрый доступ к биржевому серверу, современные компьютеры и специальные стратегии.

Есть точка зрения, что именно высокочастотные трейдеры несут ответственность за кризис декабря 2014 г. Могли ли стратегии торговых роботов вызвать резкое падение курса рубля? Влияние высокочастотных трейдеров на российский рынок не изучено. Однако, основываясь на анализе других рынков, можно предположить, что эти трейдеры не оказали значительного влияния на события 15-16 декабря. Не было упоминаний и о каких-либо серьезных технических сбоях алгоритмов в эти дни.

Высокочастотные трейдеры обычно генерируют примерно 30-50% всех торгов на биржах, но их капитал ограничен, они обычно открывают небольшие позиции и стараются как можно быстрее их закрыть, чтобы минимизировать свои риски. Эти трейдеры выполняют примерно такую же функцию, как в прошлом традиционные маркет-мейкеры. Их стратегии очень похожи, хотя высокочастотные трейдеры, конечно, подстраивают свои стратегии под особенности современных рынков.

Компьютеризация процесса торговли значительно улучшила систему учета трансакций. Она на несколько порядков снизила количество ошибок и уровень операционных рисков в торговых системах. Например, если в 1970-е годы количество ошибок на американских биржах было равно примерно 20% всех трансакций, то сейчас этот показатель составляет незначительную долю сотых процента.

Несмотря на этот факт, торговых роботов и их алгоритмы часто обвиняют в дестабилизации рынка, увеличении волатильности и создании кризисов. Считается, что в отличие от людей роботы не способны быстро адаптироваться к неожиданно изменяющейся ситуации и адекватно отреагировать на изменения. Например, сразу после обвала американского рынка в мае 2010 г. в прессе появилось много статей, в которых именно высокочастотных трейдеров обвиняли в произошедшем. Но уже через несколько месяцев американские регуляторы обнародовали результаты

своего расследования. Было определено, что резкое падение рынка было вызвано исполнением одной большой заявки на фьючерсном рынке на 75 тыс. контрактов (4 млрд долл.) фирмой «Waddell and Reed» (что заняло примерно 40 минут). После детального анализа стратегий и позиций всех участников торгов регуляторы пришли к выводу, что высокочастотные трейдеры не могли ни спровоцировать кризис такого масштаба, ни остановить его; совокупная позиция всех высокочастотных трейдеров не превышала 200 контрактов в день самого кризиса 6 мая 2010 г. и в предыдущие дни. Высокочастотные трейдеры физически не могли предоставить ликвидность для заявки размером 75 тыс. контрактов. Они просто не обладали достаточным количеством капитала (Kirilenko et al., 2014). Подобные большие заявки могут абсорбироваться только большими игроками с достаточным капиталом.

Высокочастотные трейдеры вряд ли спровоцировали кризис. Несмотря на это, необходимо серьезно проанализировать, как эти трейдеры влияют на ликвидность российского рынка, какие стратегии они используют и не повышает ли их присутствие на рынке трансакционные издержки инвесторов с более длинными горизонтами планирования.

Версия 4: падение цен на нефть

Часто говорят, что декабрьский кризис мог быть вызван падением цены на нефть, но это не так. Цена на нефть понижалась с конца июня 2014 г. и естественно приводила к синхронному ослаблению рубля в течение многих месяцев. В середине декабря существенного изменения в динамике цен на нефть не было — они влияли на долгосрочную динамику курса рубля, но не могли быть причиной резких краткосрочных колебаний курса.

Версия 5: атака на национальную валюту

В связи со сложной геополитической обстановкой были предположения, что резкую девальвацию рубля могла вызвать атака на российскую валюту со стороны иностранного государства. Для проверки этой гипотезы необходимо провести тщательный анализ трансакций всех иностранных банков и компаний на Московской бирже в декабре 2014 г. Эта версия представляется маловероятной, так как реализация подобной стратегии была бы очень дорогой и имела бы лишь кратковременный эффект.

Можно приблизительно подсчитать стоимость подобной операции. Предположим, что для ее осуществления необходимо было бы продать рубли на российской валютной бирже на 5 млрд долл. Используя курс доллара 58,18 руб. на момент закрытия биржи в пятницу 12 декабря как ориентир и учитывая средневзвешенный курс доллара (62,56 руб. за 15 и 16 декабря), можно подсчитать, что приблизительные потери от такой стратегии составили бы 5x109x(62,56 - 58,10)/58,18, то есть 376 млн долл. Если использовать курс доллара 56,44 руб. на момент закрытия в четверг 11 декабря как ориентир и учитывать средневзвешенную цену доллара (60,84 руб. за 12, 15 и 16 декабря), то приблизительные потери составили бы 5x109x(60,84 - 56,44)/56,44, то есть 390 млн долл.21

Сравнение с кризисами в прошлом

Похожие кризисы происходили и в других странах. Многие из них были вызваны большими заявками на продажу, которые по разным причинам исполнялись на рынках. Рассмотрим несколько примеров (подробнее см.: Kyle, Obizhaeva, 2016b).

В октябре 1929 г. американский рынок упал на 25% в течение последней недели месяца, что было вызвано одновременным закрытием позиций многих инвесторов и ликвидацией их активов, приобретенных с помощью маржинальных кредитов. Продажи достигали 1,181 млрд долл., что составляло примерно 265% дневного объема торгов на рынке акций, или 1% ВВП США в то время.

В октябре 1987 г. американский рынок в течение недели обвалился на 32% из-за вынужденных продаж индексных фьючерсов и акций фирмой, которая застраховала портфели многих пенсионных фондов и крупных институциональных инвесторов. По оценкам американских регуляторов, продажи достигали 13,75 млрд долл., что составило около 67% дневного объема торгов, или 0,28% ВВП США.

В конце октября 1987 г. Дж. Сорос за несколько минут продал американские индексные фьючерсы, обрушив рынок акций на 22%. Размер заявки был равен примерно 0,3 млрд долл., что составляло примерно 2,29% дневного объема торгов, или 0,007% ВВП США.

В январе 2008 г. европейские рынки неожиданно упали примерно на 10% в течение двух дней во время ликвидации огромной спекулятивной позиции, которая была тайно открыта одним из трейдеров банка Societe Generale в нескольких высоколиквидных фьючерсных контрактах на европейские индексы. Величина позиции была равна 10 млрд евро, что составляло примерно 28% дневного объема торгов на европейском рынке акций, или 0,4% ВВП Европы.

6 мая 2010 г. цены на американские индексные фьючерсы всего за 10 минут обрушились на 5% из-за заявки фирмы «Waddell and Reed». Размер заявки был равен примерно 4,37 млрд долл., что составляло примерно 1,49% дневного объема торгов на рынке акций, или 0,03% ВВП США.

В таблице 3 показано сравнение декабрьского кризиса рубля с другими кризисами. В таблице приведены реальное и теоретическое изменение цен, заявка в процентах от дневного объема торгов и от ВВП. Вычисления для кризиса российской валюты приводятся при предположениях, что величина заявки на покупку долларов на рынке российской валюты составила 7 млрд долл. (или 420 млрд руб.), среднедневной объем торгов на валютном рынке равен 10 млрд долл., а объем ВВП России за 2013 г. — 66 755 млрд руб.

Таблица 3

Декабрьский кризис 2014 г. и другие кризисы

Кризис

Страна

Реальный ΔР/Р

Теоретический ΔР/Р

% ADV

% ВВП

Кризис рубля, 2014

РФ

38

28

70,0

0,606

Кризис, 1929

США

25

46

265,0

1,136

Кризис, 1987

США

32

17

67,0

0,280

Сорос, 1987

США

22

6

2,29

0,007

SocGen, 2008

ЕС

10

11

28,0

0,401

Флэш-крэш, 2010

США

5

0,61

1,49

0,030

Как видно из таблицы 3, валютный кризис был намного более значительным событием, чем мини-кризисы, спровоцированные трансакциями Сороса в октябре 1987 г. и фирмы «Waddell and Reed» в мае 2010 г. По всем параметрам валютный кризис был больше похож на американские кризисы 1929 и 1987 гг., а также на обвал европейских рынков в начале 2008 г. Это видно и по размеру продаж, и по величине падения цен.

Выводы и рекомендации

На основе представленного анализа событий середины декабря 2014 г. можно предложить меры, которые помогут сделать российский финансовый рынок более стабильным и предотвратить возникновение похожих ситуаций в будущем.

Во-первых, исполнение заявки в несколько миллиардов долларов на валютном рынке приведет к сильным изменениям курса и дестабилизирует рынок, поэтому нужно заранее продумывать механизмы предоставления ликвидности в необходимых ситуациях, возможно через каналы Банка России. Аукционы РЕПО в иностранной валюте оказались эффективным инструментом, который позволил достаточно быстро ввести долларовую ликвидность в систему и сгладить дисбалансы. В будущем нужно совершенствовать эти механизмы, проанализировать оптимальное расписание аукционов, их дизайн и состав финансовых инструментов, которые можно использовать в качестве залога.

Во-вторых, надо внедрить и оптимизировать механизмы автоматической приостановки торгов на Московской бирже на случай значительных изменений цен или других форс-мажорных обстоятельств. Эти изменения особенно необходимы в условиях повышенной волатильности на рынке. При разработке этих механизмов следует учесть международный опыт, но при этом адаптировать его к особенностям российского рынка.

В-третьих, необходимо создать системы автоматического мониторинга и анализа позиций участников рынка и характера их трансакций. Эти системы могут быть полезны для обнаружения случаев манипулирования и торговли на опережение, а также для своевременной приостановки дестабилизирующих алгоритмов и быстрого анализа кризисных ситуаций.

В-четвертых, нужно наладить механизмы сбора данных о внебиржевых трансакциях на валютном рынке в консолидированной форме, удобной для дальнейшего анализа и синхронизированной по всем рынкам. Данные должны собираться по отдельным счетам, чтобы в дальнейшем была возможность отслеживать действия по каждому счету как на бирже по разным инструментам, так и вне биржи.


Автор выражает признательность А. Кайлу, О. Обижаевой и Г. Пифтанкину за полезные обсуждения.


1 Этот курс наблюдался в течение непродолжительного периода времени, примерно в 15:12 МСК. Данные получены на сайте http://finam.ru.

2 Из этой гипотезы можно вывести простые формулы для описания различных параметров рынка - размера заявок, бид-аск спредов, трансакционных издержек, а также оценок изменения цен при исполнении заявок.

3 Стандартная ошибка оценки 5x10-4 равна 0,380x10-4.

4 См., в частности: Office of Financial Research, 2014; Tuzun, 2013.

5 Этот множитель добавлен в основную базовую формулу (Kyle, Obizhaeva, 2016а) для дальнейших вычислений.

6 В теории инвариантности скорость рынка пропорциональна (VPa)2/3. Объем торгов на российском валютном рынке составляет 10 млрд долл., дневная волатильность 2%. Объем торгов на рынках S&P500 E-mini фьючерсов и американских акций 300 млрд долл., дневная волатильность - 1%. Так как (300x0,01 )2/3/(10x0,02)2/3 = 6, американский рынок работает в 6 раз быстрее российского.

7 http://www.rbc.ru/finances/20/04/2015/5530c9c99a794788fe44df89.

8 http://cbr.ru/hd_base/?PrtId=valint_day.

9 8, 9, 10, и 11 декабря объем интервенций был меньше: 400 млн, 348, 206 и 478 млн долл. соответственно. В пятницу 5 декабря объем валютных интервенций составил 1,926 млрд долл.

10 В понедельник 15 декабря Банк России провел ломбардный кредитный аукцион по предоставлению кредитов по плавающей процентной ставке на срок 36 месяцев (дата предоставления кредита Банка России 16 декабря 2014 г.). Максимальный объем предоставляемых денежных средств составил 700 млрд руб. Ломбардный кредитный аукцион признан несостоявшимся в связи с отсутствием заявок. См. также: http: moex.com/n7198; http: www.cbr.ru hd base default.aspx?Prt!d=repo_shedulefx; http: /www.cbr.ru hd_base/ default.aspx?Prt!d=repofx.

11 http: //cbr. ru/hd\base/?PrtId=swapinfosel lusdvol.

12 Первый аукцион годового валютного РЕПО Банк России провел 17 ноября, банки привлекли на нем 87,7 млн долл. из 10 млрд.

13 Банк России приостановил 15 декабря торговлю фьючерсными контрактами на индекс РТС некоторыми участниками торгов для предупреждения возможного манипулирования в период расчета цены экспирации фьючерсных контрактов (http://www.cbr.ru/press/pr.asp x?file=15122014_160207if2014-12-15T15 49 04.htm).

14 Правила организованных торгов ОАО «Московская биржа» на валютном рынке и рынке драгоценных металлов, редакция от июля 2013 г. fs.moex.com/files/5856 .

15 См. новые правила о процедуре приостановки торгов, принятые U.S. Securities and Exchange Commission в 2012 г. (http://www.sec.gov/investor/alerts/circuitbreakersbulletin.htm). См. также выступление Т. Даффи (СМЕ Group) в Конгрессе США после кризиса «флэш-крэш» в мае 2010 г.: http://online.wsj.com/public resources documents/duffy5112010.pdf.

16 http://cbonds.com/news/item/748991; http://wwW.banki.ru/banks/bank/vbrr/.

17 http://www.cbr.ru/press/PR.aspx?file=12122014_091724if2014-12-12T09_15_38.htm.

18 http://www.rbc.ru/finances/15 12 '2014 548b17d62ae596382b8c6b19.

19 Итоговая пресс-конференция А. Кудрина в информационном агентстве «Интерфакс»; http://akudrin.ru/news/ itogovaya-press-konferentsiya-v-informatsionnom-agentstve-interfaks.

20 http://www.interfax.ru / business '413214.

21 При объеме X было бы потеряно примерно Х x 0,075 долл. для первого метода оценки и Х x 0,078 долл. — для второго.


Список литературы / References

Akerlof G. A., Shiller R. J. (2009). Animal spirits: How human psychology drives the economy, and why it matters for global capitalism. Princeton: Princeton University Press. [Рус. пер.: Акерлоф Дж., Шиллер Р. (2010). Spiritus Animalis, или Как человеческая психология управляет экономикой. М.: Юнайтед Пресс.]

Almgren R.f Thum С., Hauptmann Е., Li Н. (2005). Direct estimation of equity market impact. Risk, Vol. 18, No. 7, pp. 58 — 62.

BIS (2013). Triennial Central bank survey. Foreign exchange turnover in April 2013: preliminary global results. Basel: Bank for International Settlements.

Kirilenko A., Kyle A. S., Samadi M., Tuzun T. (2014). The flash crash: The impact of high frequency trading on an electronic market. Unpublished manuscript. URL: papers. ssrn. com/sol3/papers. cf m?abstract_id=1686004.

Kyle A. S., Obizhaeva A. A. (2016a). Market microstructure invariance: Empirical hypotheses. Unpublished manuscript. URL: papers.ssrn.com/sol3/papers.cfm? abstract_id=2023776

Kyle A. S.f Obizhaeva A. A. (2016b). Large bets and stock market crashes. Unpublished manuscript. URL: papers.ssrn.com/sol3/papers.cfm?abstract_id=2023776.

Kyle A. S., Obizhaeva A. A., Wang Y. (2014). Smooth trading with overconfidence and market power. Unpublished manuscript. URL: papers.ssrn.com/sol3/papers. cfm?abstract_id=2423207

Office of Financial Research (2014). Annual report. Washington, DC: U.S. Department of the Treasury.

Shiller R. J. (1987). Investor behavior in the october 1987 stock market crash: Survey evidence. NBER Working Paper, No. 2446.

Staffs of the CFTC and SEC (2010). Preliminary findings regarding the market events of May 6, 2010. Report to the Joint Advisory Committee on Emerging Regulatory Issues. Washington, DC.

SFC (2001). Circuit breakers: International practices and effectiveness. Hong Kong: Supervision of Markets Division of the Securities and Futures Commission.

Tuzun T. (2013). Are levered and inverse ETFs the new portfolio insurers? Unpublished manuscript. URL: http://papers.ssrn.com/sol3/papers.cfm?abstract_id=2340616.

U.S. Presidential Task Force (1988). Report of the Presidential Task Force on Market Mechanisms. Washington: U.S. Government Printing Office.