Экономика » Анализ » Краткосрочное прогнозирование цен на российском оптовом рынке электроэнергии на основе нейронных сетей

Краткосрочное прогнозирование цен на российском оптовом рынке электроэнергии на основе нейронных сетей

Рубрика - Анализ

Золотова И.Ю.
Дворкин В.В.


Рынок электроэнергии в Российской Федерации представляет собой систему взаимоотношений между его участниками по поводу обращения (купли-продажи) двух товаров: электрической энергии и мощности. При этом цена на электрическую энергию определяется стоимостью топлива, сжигаемого на электростанциях (переменная составляющая). Стоимость электрической мощности, формируется исходя из условия компенсации условно-постоянных затрат энергетических компаний. Потребитель, оплачивая потребляемый фактический объем электроэнергии, дополнительно несет обязательства по оплате электрической мощности за готовность электрогенерирующего объекта выполнить требуемую нагрузку.

Ниже рассматривается одна из составляющих системы цен в электроэнергетике -свободная оптовая цена электрической энергии, формируемая на так называемом «рынке на сутки вперед» (далее - РСВ)2, которая в большей степени (по сравнению с другими ценовыми параметрами) подвержена волатильности под влиянием как циклических (например, сезонности), так и стохастических факторов.

На рынке РСВ действует маржинальный принцип ценообразования. Потребители и поставщики электрической энергии подают заявки, включающие предложения участников по объему и ценам приобретения (поставки) электрической энергии. Отбор заявок осуществляется, исходя из условия минимизации затрат (цены) покупателей электроэнергии, т.е. первоначально отбираются предложения поставщиков электрической энергии (электростанций) с наименьшей ценой, затем рассматриваются следующие по возрастанию ценовые предложения пока спрос на электроэнергию не будет удовлетворен (обеспечен предложением) полностью. Цена последней заявки поставщика, «замкнувшая» предложение, и будет являться ценой РСВ, по которой электрическая энергия реализуется всеми поставщиками3.

Волатильность цен на электроэнергию и непредсказуемость условий, в которых предстоит функционировать участникам энергорынка в будущих периодах, существенно затрудняют принятие ими управленческих решений4. Таким образом, формирование прогноза цен в электроэнергетике, а главное - повышение его точности, является актуальной задачей развития экономических отношений на перспективу.

Модели краткосрочного прогнозирования цен в электроэнергетике

Первая группа прогнозных моделей - модели на основе теории игр. Для моделирования рыночной конъюнктуры в электроэнергетике используются модели равновесия по Нэшу, модель Курно, модель Бертрана и др. [1]. Ко второй группе моделей относят так называемые имитационные, или фундаментальные модели. Прогнозное значение цены на электроэнергию определяется по результатам аукциона для рассматриваемой зоны энергосистемы. С учетом того, что эти модели требуют большого объема исходных данных, их использование для краткосрочного прогнозирования ограничено. Третья группа прогнозных моделей основывается на анализе временных рядов, в котором используется совокупность математико-статистических методов, предназначенных для выявления структуры временных рядов, изучения исторической динамики исследуемых показателей и экстраполяции их на перспективу. В данной группе прогнозных моделей выделяют две подгруппы: традиционные статистические модели и модели искусственного интеллекта.

Представителями моделей искусственного интеллекта являются прогнозные модели на основе нейронных сетей. В отличие от традиционных статистических моделей, которые по существу являются линейными, модели искусственного интеллекта позволяют учесть сложную нелинейную взаимосвязь между зависимой и объясняющими переменными. Последнее связано с архитектурой таких моделей, повторяющих устройство головного мозга человека. Использование данных моделей позволяет ассоциировать исследуемый показатель (цена на электроэнергию) с набором различных факторов (не только исторических значений) и экстраполировать его значение на перспективу5.

Рассматриваемая нами разработка модели прогнозирования цен на электроэнергию на РСВ учитывает строго детерминированные на прогнозный период факторы с шагом прогнозирования, равным часу, и горизонтом прогнозирования в один месяц. Данная задача может быть реализована с использованием моделей нейронных сетей. При этом необходимым условием (критерием) ее применимости на практике (например, для решения бизнес-задач) является обеспечение высокой точности прогнозирования6, т.е. способность модели допускать низкие средние ошибки прогнозирования и предугадывать существенные отклонения цены в отдельные моменты времени («аномалии»).

Прогнозирование на основе нейроннъх сетей

Искусственная нейронная сеть (Artificial neural network - ANN) представляет собой математическую модель, принцип которой соответствует принципу функционирования биологических нейронных сетей. Основными элементами модели ANN являются искусственные нейроны (простейшие процессоры), способные посылать выходной сигнал, полученный путем обработки набора входных сигналов.

Важный этап прогнозирования на базе ANN - так называемый процесс обучения сети, который заключается в определении и «подгонке» весов каждого сигнала на входе нейрона таким образом, чтобы значение на выходе из сети максимально соответствовало целевому (фактическому) значению. Другими словами, обучение представляет собой процесс решения оптимизационной задачи по минимизации ошибки между значениями целевого (фактического) параметра и выходного параметра сети.

Самым известным и наиболее распространенным видом ANN является многослойный персептрон (multilayer perceptron - MLP) [4]. Структурно такая сеть состоит из трех основных слоев:

  1. входной слой - совокупность нейронов, представляющих собой набор входных сигналов (исходных данных);
  2. скрытый слой (или скрытые слои) - совокупность нейронов, позволяющих сети обучаться решению сложных задач, последовательно извлекая наиболее важные признаки сигналов из входного слоя;
  3. выходной слой - совокупность нейронов, представляющих собой набор выходных (искомых) параметров (рис. 1).

MLP является сетью прямого распространения, т.е. входной сигнал распространяется от слоя к слою сети в прямом направлении. При этом нейроны во втором и третьем слоях могут быть связаны одним и тем же набором входных сигналов, но не связаны друг с другом.

Принципиальная структура ANN

Необходимо отметить, что параметры сети напрямую зависят от сложности поставленной задачи, т. е. не существует однозначных параметров ANN (включая их количество) для решения различных задач [5].

Для определения количества нейронов сети используют следующие основные принципы. Число нейронов во входном и выходном слоях соответствует количеству исходных данных и целевых (искомых) параметров соответственно. Число нейронов в скрытом слое, как правило, определяется экспериментальным путем. При этом важно понимать, что наличие только одного скрытого нейрона в ряде задач прогнозирования может привести к высокой ошибке прогноза, а слишком большое число таких нейронов значительно увеличивает время вычислений без адекватного повышения качества прогнозирования (другими словами, можно достигнуть эквивалентного результата прогнозирования при использовании меньшего числа нейронов). Более того, слишком большие модели ANN подвержены переобучению7 [6].

Способ обработки входящих сигналов описывается так называемыми функциями активации нейронов. В большинстве прикладных задач в прогнозировании для скрытого слоя ANN используется сигмоидальная активирующая функция, для выходного -простая линейная функция [7].

В использовании моделей ANN для решения задач прогнозирования можно выделить следующие этапы:

  1. определение набора факторов, влияющих на целевой параметр;
  2. формирование структуры сети и ее обучение (с последующей оценкой возможности сети обобщать информацию);
  3. непосредственно прогнозирование на обученной сети [8].

Важно подчеркнуть, что на этапе собственно прогнозирования известны только входные параметры, подача которых на вход сети позволяет получить прогнозные значения анализируемого параметра.

Адекватность результатов прогноза оценивается на основе расчета средней абсолютной ошибки (Mean absolute error - MAE) и аналогичного показателя в процентах (Mean absolute percentage error - MAPE) [9].

Формирование модели прогноза цен на электроэнергию на рынке РСВ

В целях реализации поставленной задачи рассмотрим ANN с одним скрытым слоем. Число нейронов во входном слое соответствует 6-ти входным параметрам. При этом важно, чтобы все рассматриваемые входные параметры были строго детерминированы (заранее четко, без погрешности определены). Число нейронов в скрытом слое получено эмпирическим путем и равно 8-ми. В ходе работы было проведено 30 итераций, т.е. число скрытых нейронов варьировалось от 1 до 30. Наименьшую ошибку прогноза показала модель с 8-ю скрытыми нейронами. В рассматриваемой сети только один выходной нейрон - прогнозный уровень цены на электроэнергию на РСВ.

Для обработки входных сигналов приняты сигмоидальная и линейная функции активации для скрытого и выходного слоев соответственно. Обучение сети происходит путем решения оптимизационной задачи с использованием алгоритма Левенберга-Марквардта, комбинации метода Ньютона и градиентного спуска [10]. Оценка обучения сети проводится на основе соответствия целевых и полученных выходных значений R2 и характера распределения ошибки [11].

В качестве исходных данных (фактических значений целевого показателя) принята почасовая динамика индекса равновесных цен (цена РСВ)8 первой ценовой зоны оптового рынка электроэнергии и мощности (ОРЭМ)9 за период с сентября 2006 по октябрь 2012 г., всего 53 904 наблюдения (рис. 2) [12].

Почасовая динамика цены электроэнергии на РСВ

Каждому значению индекса цены РСВ соответствуют шесть рассматриваемых в модели входных параметров:

  • значение индекса цены в предшествующий час, руб./МВт-ч;
  • значение индекса цены в аналогичный час в предыдущую неделю, руб./МВт-ч;
  • час суток;
  • день недели;
  • бинарная переменная, относящая текущий день к выходному или праздничному дню;
  • бинарная переменная, относящая текущий день к рабочему дню.

При этом первые два параметра относятся к историческим значениям цены на электроэнергию на РСВ, остальные - к сезонным факторам, отражающим специфику рынка электроэнергии10.

Кроме того, первые два параметра включены в модель в качестве входных параметров. Обоснованность рассмотрения их в качестве входных параметров подтверждается наличием выявленной высокой автокорреляцией часовых значений цен на электроэнергию РСВ и соответствующих показателей. На представленной на рис. 3 коррелограмме анализируемого временного ряда с числом лагов 744 (количество часов в месяце) наибольшую корреляцию демонстрируют значения цены в предшествующий час суток (1-й лаг, автокорреляция первого порядка) и в аналогичный час на предшествующей неделе (168-й лаг).

Коррелограмма цен на РВС

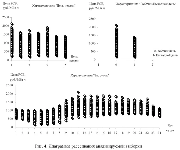
При формировании прогнозной модели цен на электроэнергию также были учтены отраслевые показатели (входные параметры), влияющие на уровень цен на рынке, при этом строго детерминированные на перспективу: час суток11, день недели, признак «рабочий (выходной) день». Диаграммы рассеивания наблюдений индекса цен РСВ в соответствии с указанными характеристиками показаны на рис. 4.

Диаграммы рассеивания анализируемой выборки

Цена электроэнергии на РСВ в дневные часы выше по сравнению с ночным периодом, аналогично можно отметить превышение цены РСВ в рабочие дни над данным показателем в праздничные и выходные дни. Соответствующая тенденция наблюдается и для значений стандартного отклонения: в ночные часы, выходные и праздничные дни стандартное отклонение в основном ниже, чем в дневные часы и рабочие дни. Данный факт связан с ростом объема потребления электроэнергии (спроса) в дневные часы по сравнению с ночным периодом и аналогично - в рабочие дни по сравнению с выходными и праздничными днями. Последнее в большей мере связано с графиком нагрузки (работы) крупных промышленных потребителей. В условиях маржинального ценообразования на рынке электроэнергии для покрытия большего спроса необходимо «задействовать» более дорогую генерирующую мощность, что и приводит к отмечаемому росту цены РСВ.

Стоит отметить, что спецификация прогнозной модели цен РСВ с включением отдельно двух бинарных переменных, относящих операционные сутки к выходному или рабочему дням, показала лучшую прогнозирующую способность. Данный факт можно объяснить большей степенью ассоциированности входных и выходного параметров рассматриваемой модели.

В связи с отсутствием статистических данных по таким специфическим параметрам, как нагрузка сети, температура наружного воздуха, состав включенного генерирующего оборудования, водность рек (отражающим особенность функционирования рынка электроэнергии и влияющих на точность учета сезонности), а также в связи с невозможностью строго детерминировать данные факторы на перспективу соответствующие показатели не были учтены при формировании модели.

Анализ фактических данных о ценах РСВ показал различную динамику цены на электроэнергию в зависимости от времени года12 (рис. 5).

Динамика средних почасовых значений цены на электроэнергию на РВС

Таким образом, с целью оценки возможности применения прогнозной модели цен РСВ на практике в рамках данной работы рассмотрена дополнительная характеристика (дополнительный косвенный фактор - сезон), с учетом которой построены четыре прогнозных модели (в качестве характерных данных приняты значения цен за второй (средний) месяц каждого сезона: январь, апрель, июль, октябрь).

Относительно исходных данных по уровням цен РСВ необходимо отметить следующее. Фактические данные, предшествующие месяцу прогноза, использовались для построения прогнозной модели, а данные за месяц, соответствующий прогнозному периоду, использовались для оценки адекватности результатов прогноза. Так, при прогнозировании почасовой динамики цены РСВ на октябрь 2012 г. данные за сентябрь 2006 г. - сентябрь 2012 г. были приняты для построения модели, а фактические данные за октябрь 2012 г. - для оценки точности (корректности) прогнозных значений.

Для построения моделей использовался программный комплекс Matlab R2013b.

Распределение наблюдений в соответствии с методологией прогнозирования на базе ANN приведено в табл. 1. В каждом из четырех случаев наблюдений обучения сети 70% выборки, предшествующей прогнозному периоду, отводилось на обучение сети и по 15% - на кросс-тестирование и итоговое тестирование.

Таблица 1

Распределение наблюдений для обучения прогнозной модели ANN, количество наблюдений

Прогнозный период

Выборка для обучения

Выборка для кросс-теста

Выборка для итогового теста

Январь

32610

6988

6988

Апрель

34138

7315

7315

Июль

35667

7643

7643

Октябрь

37213

7974

7974

Распределение наблюдений для каждого шага построения модели проводилось с точки зрения обеспечения достаточности информации для максимальной ассоциированности рассматриваемых факторов и цены на электроэнергию, а также для предотвращения эффекта переобучения сети. В данном случае распределение выборки на обучение в размере 70% не привело к ситуации, при которой ошибка на каждой итерации обучения уменьшается с одновременным ее ростом на стадии кросс-тестировании, т.е. не наблюдаются переобучение сети и потери способности модели качественно обобщать информацию (прогнозировать).

Результаты тестирования обученной модели обусловлены высоким качеством предлагаемой ANN (табл. 2). Для фактических данных и выходных данных сети на тестовой выборке были рассчитаны коэффициенты детерминации R2. Их значения для каждой из четырех моделей близки к единице, что говорит о высоком качестве «подгонки» весов нейронной сети и, следовательно, способности сети обобщать информацию.

Таблица 2

Результаты тестирования обученной ANN

Прогнозный период

Число этапов обучения

Взаимосвязь фактических и выходных значений сети; R2

Среднее значение ошибок

Стандартное отклонение ошибок

Статистика теста Колмогорова -Смирнова

Январь

50

0,979

0,250

48,13

0,122

Апрель

122

0,978

0,030

47,15

0,119

Июль

69

0,977

0,067

49,33

0,115

Октябрь

30

0,982

0,075

47,51

0,124

Для оценки характера распределения ошибки между фактическими данными и выходными данными на этапе обучения был проведен тест Колмогорова - Смирнова. Распределение ошибок носит нормальный характер, поскольку для каждой из моделей статистическая значимость выше порогового значения 0,05 (ниже которого высока вероятность отклонения от нормального распределения). Руководствуясь правилом трех сигм, согласно которому 99,73% ошибок попадает в соответствующий диапазон (-3о; 3о), для каждой модели были определены интервальные значения ошибки (табл. 3). Таким образом, ожидается, что сформированная модель минимизирует число ошибок прогноза (количество некорректных прогнозных значений).

Таблица 3

Интервал попадания ошибки между фактическими и выходными параметрами сети (руб./МВт-ч)

Прогнозный период

Интервальные значения ошибки, %

34,1

13,6

2,1

Январь

+/- (0; 48,1)

+/- (48,1; 96,2)

+/- (96,2; 144,4)

Апрель

+/- (0; 47,15)

+/- (47,15; 94,3)

+/- (94,3; 141,5)

Июль

+/- (0; 49,3)

+/- (49,3; 98,6)

+/- (98,6; 148)

Октябрь

+/- (0; 47,5)

+/- (47,5; 95)

+/- (95; 142,5)

Прогноз цен на электроэнергию на РСВ в первой ценовой зоне оптового рынка на базе сформированной модели ANN

Как отмечено выше, предложенная прогнозная модель на базе ANN была применена для прогнозирования месячной почасовой динамики индекса цен РСВ первой ценовой зоны ОРЭМ в 2012 г. в соответствующие периоды (сезонные месяцы). Проверка адекватности прогнозирования цен на электроэнергию выполнена путем сравнения теоретических значений (полученных на модели) и соответствующих фактических данных.

Результаты выполненных расчетов - значения ошибок прогноза цены РСВ в различные сезоны на месячном горизонте (с шагом «неделя»), а также данные по числу «аномальных» значений цен - значительных отклонений фактической цены РСВ от средних значений приведены в табл. 4.

Таблица 4

Ошибка прогноза цены РСВ на горизонте прогнозирования один месяц в различные сезоны 2012 г.


Январь

Апрель

Июль

Октябрь


MAE,

MAPE,

MAE,

MAPE,

MAE,

MAPE,

MAE,

MAPE,


руб./МВт-ч

%

руб./МВт-ч

%

руб./МВт-ч

%

руб./МВт-ч

%

I неделя

24,5

3,5

19,4

2,3

33,1

3,1

28,0

2,8

II неделя

26,3

3,6

28,5

2,8

23,1

2,2

27,8

2,9

III неделя

21,1

2,6

26,8

4,0

26,7

2,7

23,2

2,3

IV неделя

21,3

2,4

30,5

4,2

22,7

2,1

26,7

2,9

Месяц

23,0

3,0

26,7

3,4

26,0

2,5

26,5

2,7

Число «аномалий»

1

4

2

0

Средние абсолютные ошибки почасового прогноза цен РСВ за рассматриваемые месяцы 2012 г. находятся в пределах 2,48% - 3,41%. Модель позволила спрогнозировать значительные фактические отклонения цены («аномалии»). При этом необходимо отметить, что в точках «аномалии» ошибка прогноза превышает среднюю ошибку за рассматриваемый период. В октябре 2012 г. существенных отклонений цен РСВ не наблюдалось, т.е. модель также предугадала отсутствие «аномалий».

Оценка результатов моделирования

Для отладки модели прогнозирования были использованы данные почасовой динамики цены РСВ в период с сентября 2006 по октябрь 2012 г. Как отмечено выше, модель показала адекватные результаты при сопоставлении прогнозных и фактических данных за 2012 г.

Для оценки возможности применения предложенной модели на практике авторы дополнительно выполнили прогноз цен РСВ на август 2015 г. (на основе данной модели). Результаты моделирования и фактическая почасовая динамика цены РСВ за август 2015 г. показаны на рис. 6. Средняя абсолютная ошибка прогноза составила 39,8 руб./МВт-ч, аналогичный показатель в процентах - 3,81, что может говорить об адекватности и прикладной применимости представленной прогнозной модели цен РСВ.

Результаты почасового прогноза цены РСВ на август 2015 года

Актуализация выборки (включение в модель дополнительных данных13) для обучения нейронной сети может увеличить точность прогноза цен РСВ на 2015 г.

С целью оценки адекватности сформированных прогнозных моделей цен на электроэнергию (и точности выполненных прогнозов) авторами дополнительно были проанализированы некоторые результаты аналогичных исследований рынков электроэнергии зарубежных стран, также характеризующихся высокой волатильностью цен (табл. 5). Сравнение с зарубежными аналогами позволяет сделать вывод о достаточно высоком качестве разработанной модели.

Таблица 5

Точность моделей прогнозирования цен на электроэнергию на основе нейронных сетей (примеры)

Автор

Страна

Горизонт

MAPE, %

Зима

Весна

Лето

Осень

Catalao J.P.S. [4]

Испания

неделя

5,23

5,36

11,40

13,65

Anbazhagan S. [13]

Испания

неделя

4,03

4,29

8,29

8,65

Anbazhagan S. [13]

США (Нью-Йорк)

неделя

4,89

3,90

3,05

2,88

Voronin V. [141]

Финляндия

неделя

4,70

5,45

9,43

4,75

Neupane B. [10]

США (Нью-Йорк)

месяц

4,31

4,09

4,72

3,48

Neupane B. [10]

Австралия

месяц

9,09

5,21

6,94

4,57

Ranjbar М. [15]

Канада (Онтарио)

месяц

18,5

-

-

-


Рассмотренная модель краткосрочного прогнозирования цен на электроэнергию на РСВ на основе нейронных сетей позволила сформировать с достаточно высокой степенью точности предсказываемые значения цен в условиях волатильности и неопределенности в разные сезоны года. Важным преимуществом модели является включение в нее только строго детерминированных на перспективу показателей при обеспечении качества (минимизации ошибки) прогноза и возможности предсказать существенные отклонения цен РСВ в отдельные часы (точки «аномалии»).

Результаты исследования пригодны для использования участниками российского рынка электрической энергии в планировании лучших финансовых результатов своей работы.


1 Исследование выполнено при финансовой поддержке Российского фонда фундаментальных исследований (проект № 16-56-00589 «Моделирование российского рынка электроэнергии в условиях неопределенности: прогнозирование рынка, разработка стратегии участников и оценка риска»).

2 «Рынок на сутки вперед» (РСВ) представляет собой проводимый коммерческим оператором рынка (ПАО «АТС») конкурентный отбор ценовых заявок поставщиков и покупателей за сутки до реальной поставки электроэнергии с определением цен и объемов поставки на каждый час суток. Доля РСВ в России составляет 60% в общем объеме оптового рынка электроэнергии и мощности (стоимости реализации рассматриваемых товаров).

3 Данный принцип ценообразования предусматривает разный маржинальный доход электрических станций.

4 С точки зрения теории аукционов действующий механизм отбора заявок на РСВ является закрытым, так как ни покупатели, ни продавцы не знают о содержании ценовых заявок, поданных другими участниками, и не могут заранее предсказать цены и прошедшие на рынок объемы электроэнергии.

5 О применении нейронных сетей к моделированию рынка электроэнергии см. в [2-4].

6 Конечно, с учетом понимания того, что будущее не может быть точно определено и слишком детальные детерминированные предсказания в экономике невозможны в принципе (это допущение справедливо и будет иметь место при формировании любых прогнозных моделей и использовании различных методов прогнозирования.

7 Процесс, при котором модель достаточно точно обобщает фактическую информацию, но некорректно прогнозирует исследуемый параметр.

8 Индекс цен РСВ в определенный час соответствующих операционных суток представляет собой средневзвешенную величину равновесных узловых цен РСВ, сложившихся по результатам конкурентного отбора ценовых заявок на сутки вперед в данный час. В рамках настоящей статьи авторы под ценой РСВ в определенный час рассматриваемого периода понимают соответствующий индекс цен РСВ.

9 Исходя из технологической структуры генерирующих и сетевых мощностей оптовый рынок электроэнергии и мощности разделен на две ценовые зоны: первая (территории Центра и Урала) и вторая (Сибирь). Первая ценовая зона занимает 76% в общем объеме производства электроэнергии.

10 Неравномерность графика нагрузки в течение суток, зависимость объема спроса на электроэнергию от характеристики дня по признаку «рабочий день или выходной/праздничный» и проч. В условиях маржинального ценообразования на рынке РСВ такие колебания спроса (наряду с другими неценовыми факторами, такими как, график загрузки ТЭЦ, ремонтная компания, водность рек, стратегии поставщиков при подаче заявок) отражаются на уровне цены на электроэнергию на рынке.

11 В соответствии с действующими правилами рынка уровень цены РСВ определяется по итогам аукционов на каждый час операционных суток.

12 На дифференциацию уровней цен на электроэнергию на РСВ в различные сезоны оказывают влияние такие факторы, как уровень теплофикационной нагрузки ТЭЦ (в отопительный сезон (осень-зима), рост выработки тепла на ТЭЦ приводит к снижению удельных расходов топлива на выработку электроэнергии и в свою очередь — цены), график ремонтов (вывод в летний период в плановый ремонт более эффективного генерирующего оборудования может привести к росту цен РСВ в данный период), водность рек (увеличение водности рек весной приводит к росту выработки электроэнергии на ГЭС и снижению цены РСВ) и проч.

13 Данные о динамике цены РСВ на российском рынке электроэнергии раскрываются на официальном сайте Администратора торговой системы (ПАО «АТС»). На момент проведения исследования и написания статьи доступные актуальные отчетные данные представлены за август 2015 г..


Литература
  1. Ghosh D. Game Theoretic Bidding Strategies for Auctions in Green Electricity Markets. (2010). Honors Scholar Theses. 149. http://digitalcommons.uconn.edu/srhonors_theses/149
  2. Pao H. Forecasting Electricity Market Pricing Using Artificial Neural Networks. Energy Conversion and Management. 05/2007/ 48(5). P. 907-912.
  3. Chogumaira E.N., Hiyama T. Short-Term Electricity Price Forecasting Using a Combination of Neural Networks and Fuzzy Inference. Energy and Power Engineering, 2011. № 5. P. 9-16.
  4. Catalao J.P.S., Mariano S.J.P.S., Mendes V.M.F., Ferreira L.A.FM. Short-Term Electricity Prices Forecasting In A Competitive Market: A Neural Network Approach. Electric Power Systems Research. Vol. 77. 2007. P. 1297-1504.
  5. Angus J. E. Criteria For Choosing The Best Neural Network: Part I. Naval Health Research Center. Jan Diego, California. September 1991. Report. № 91-16. 1991. 25 p.
  6. Wu L., Shahidehpour M. A Hybrid Model for Day-Ahead Price Forecasting // IEEE Transactions on Power Systems. Vol. 25. № 5. 2010. P. 1519-1550.
  7. Shakiba S., Piltan M., Ghaderi S.F., Amalnik M.S. Short-term Electricity Price Forecasting in Deregulated Markets Using Artificial Neural Network. Proceedings of the 2011 International Conference on Industrial Engineering and Operations Management Kuala Lumpur, Malaysia, 2011. P. 579-584.
  8. Yamin H.Y., Shahidehpour S.M., Li Z. Adaptive Short-Term Electricity Price Forecasting Using Artificial Neural Networks in the Restructured Power Markets. International Journal of Electrical Power and Energy Systems. Vol.26. Issue 8. 2004. P. 571-581.
  9. Hyndman R. J., A. B. Koehler. Another Look At Measures Of Forecast Accuracy. International Journal of Forecasting. Vol.22. 2006. P. 679-688.
  10. Neupane B., Perera K.S., Aung Z, Woon W.L. Artificial Neural Network-based Electricity Price Forecasting for Smart Grid Deployment. 2012 International Conference on Computer Systems and Industrial Informatics (ICCSII). Conference Paper. December 2012. P. 1-6.
  11. Schumann J., Lin Y. Performance Estimation of A Neural Network-Based Controller. International Symposium on Neural Networks (ISNN). Chengdu, China. Springer Verlag. 2006. P. 981-990.
  12. Официальный сайт НП «Совет рынка». http://www.np-sr.ru/.
  13. Anbazhagan S., Kumarappan N. Day-ahead Deregulated Electricity Market Price Forecasting Using Neural Network Input Featured by DCT. Energy Conversion and Management. Vol. 78. 2014. Pp. 711-719.
  14. Voronin S., Partanen J. Forecasting Electricity Price and Demand Using a Hybrid Approach Based on Wavelet Transform, ARIMA andNeural Networks //International Journal of Energy Research. Vol. 38. 2014. pp. 626-637.
  15. Ranjbar М, Soleymani S., Sadati N., Ranjbar A/M. Electricity Price Forecasting Using Artificial Neural Network. Power Electronics, Drives andEnergy Systems, 2006. PEDES'06. International Conference /EEE, 2006. P. 1-5.