Экономика » Политика » Бюджетная политика как источник экономического роста

Бюджетная политика как источник экономического роста

Рубрика - Политика

Кудрин А.Л.
к. э. н.
проф. Санкт-Петербургского государственного университета
председатель Совета фонда «Центр стратегических разработок» (ЦСР)
Кнобель А.Ю.
к. э. н.
директор Центра исследований международной торговли РАНХиГС
завлабораторией международной торговли
Института экономической политики имени Е.Т. Гайдара


Научная дискуссия об экономически целесообразных для соответствующего уровня развития страны объемах и относительно оптимальной структуре государственных расходов как в целом, так и по отдельным функциональным разделам и статьям имеет давнюю историю (см.: Lucas, 1988; Вагго, 1991; Вагго, Lee, 1993; Tanzi, Zee, 1997; Iradian, 2007; World Bank, 2006; 2007; Moreno-Dodson, 2013), но консенсус в этих вопросах так и не достигнут. Имеющиеся эмпирические исследования (см.: Lucas, 1988; Aschauer, 1989; Вагго, 1996; Вагго, Sala-i-Martin, 1995; Feldstein, 1996; Alesina et al., 1999; Devarajan et al., 1997) достоверно указывают лишь на наличие некоторого уровня госрасходов (в долях ВВП), до достижения которого их наращивание способствует экономическому росту, а при его превышении негативно влияет на экономическое развитие. Этот уровень может существенно различаться для развивающихся и развитых стран. В России в 2010 2016 гг. совокупные государственные расходы составляли 35-40% ВВП, и, по мнению ряда экономистов (см.: Идрисов, Синельников-Мурылев, 2013), выход за эти пределы в существующих институциональных условиях не будет стимулировать экономический рост.

Вопрос о влиянии структуры государственных расходов на экономическое развитие тем более не имеет однозначного ответа. При определении оптимального размера бюджетных ассигнований на отдельно взятое направление методически корректно сопоставлять уровень расходов с получаемым результатом (см.: Кнобель, Соколов, 2012). Однако если для одних направлений расходования бюджетных средств он хорошо идентифицируется уже в текущем периоде (например, социальные расходы автоматически обеспечивают наблюдаемый уровень доходов определенной категории граждан) или с некоторым временным лагом (расходы на здравоохранение могут приводить к росту продолжительности жизни, увеличению рождаемости, снижению младенческой смертности; расходы на правоохранительную деятельность могут обеспечить снижение количества преступлений в стране, но зафиксировать это можно спустя несколько лет), то для расходов по таким функциональным разделам, как национальная безопасность и национальная оборона, практически не существует достоверных количественных показателей, однозначно идентифицирующих эффективность потраченных бюджетных средств (Вагго, 1991; Diele, Diele, 2010).

Цель настоящего исследования — проанализировать экономическую эффективность государственных расходов в России в 2000-2016 гг., оценив мультипликативное воздействие этих расходов на ВВП и экономический рост. В частности, на основе оценки SVAR-моделей изучается эффективность государственных расходов в России с точки зрения влияния их структуры на экономическое развитие. Кроме того, анализируются возможные экономические последствия бюджетного маневра в пользу производительных расходов, а также представлена оценка влияния изменения структуры бюджета расширенного правительства за последние годы на экономический рост.

Основные подходы к анализу эффективности бюджетных расходов с помощью оценки мультипликатора: мировой опыт

Государственные расходы выступают одной из важных компонент ВВП страны. Согласно известному макроэкономическому тождеству, Y = C + I + G + NX, где: Y — выпуск; С — потребление; I — инвестиции; G — государственные расходы; NX — чистый экспорт. Для России в 2016 г. доля госрасходов в ВВП составила 35,9%1. В разных странах она колеблется от 20 до 55%2.

Активное использование бюджетной политики в период мирового финансового кризиса 2008-2009 гг. породило новую волну научных дискуссий о ее возможностях и эффективности. Основной вопрос: какое влияние оказывает увеличение госрасходов сегодня на выпуск в будущем? В экономике данный эффект количественно измеряется при расчете мультипликатора государственных расходов, характеризующего отношение прироста ВВП к их увеличению. Среди экономистов есть разногласия по поводу того, каким должен быть мультипликатор госрасходов — больше или меньше 1, насколько допустимы с точки зрения эффективности бюджетных расходов его отклонения от 1.

Теоретически на данный вопрос можно ответить при помощи моделирования, однако выводы из построенной модели сильно зависят от изначальных предположений. Чтобы подтвердить это, рассмотрим ранее упомянутое тождество: Y = C + I + G + NX, означающее, что все, что произведено (Y), должно быть кем-нибудь потреблено (С + I + G + NX). Предположим, что госрасходы увеличиваются, и попытаемся понять, как это повлияет на ВВП.

Правая часть тождества представляет спрос на товары и услуги в экономике за определенный период. Так как госрасходы — одна из компонент этого спроса, их увеличение оказывает прямое положительное воздействие на него. Однако увеличение госрасходов косвенно влияет на частный сектор, который определяет остальные три компоненты спроса.

Во-первых, увеличение госрасходов будет отрицательно воздействовать на потребление домохозяйств, так как их рост должен быть сбалансирован увеличением совокупных налоговых сборов — либо одновременным, либо через некоторое время в будущем. В обоих случаях снизятся располагаемый доход домохозяйств и соответственно потребление — в силу эффекта дохода. В стандартных предположениях, когда выполняется рикардианская эквивалентность, домохозяйства полностью компенсируют увеличение госрасходов, уменьшая потребление 1:1. Это позволяет им больше сберегать, чтобы покрыть будущее увеличение налогов. Такой случай полного замещения опирается на ряд предположений, которые в реальности не выполняются. Соответственно потребление снизится в меньшей мере, чем увеличатся госрасходы.

Во-вторых, рост госрасходов отрицательно влияет на инвестиционную активность бизнеса, который ожидает, что в будущем увеличатся налоги, относящиеся к их видам деятельности. Очевидно, эти налоги уменьшают ожидаемую доходность проектов, дестимулируя инвестиции. Таким образом, частные инвестиции вытесняются государственным потреблением, что в долгосрочной перспективе приводит к ухудшению качества отбора инвестпроектов и, как следствие, к снижению отдачи от инвестиций.

В-третьих, увеличение госрасходов за счет описанного выше эффекта дохода снизит спрос на импорт. Однако одновременно с этим будут расти процентные ставки из-за увеличения спроса на деньги в условиях повышения номинального ВВП в силу увеличения госрасходов, и национальная валюта укрепится, соответственно увеличится импорт. Таким образом, результирующее изменение импорта будет незначительным, а укрепление национальной валюты, в свою очередь, неизбежно приведет к сокращению экспорта.

Следовательно, можно ожидать, что рост расходов государства окажет негативное воздействие на объем потребления домохозяйств, совокупных инвестиций и чистого экспорта. Соответственно единственная компонента, действующая в сторону увеличения спроса, — само государственное потребление.

Однако для полноты картины необходимо учитывать влияние госрасходов на другую часть тождества — на предложение. В макроэкономической теории предложение товаров и услуг определяется тремя переменными: технологией производства, капиталом и эффективным трудом. Увеличение любой из этих переменных приводит к росту выпуска.

Под технологией производства понимают знания, которые позволяют экономике производить больше при фиксированном количестве капитала и эффективного труда. Предполагается, что технология постепенно совершенствуется. В зависимости от модели этот процесс может быть случайным или детерминированным. Но в обоих случаях рост госрасходов не влияет на технологию или влияет незначительно (за исключением ситуаций, когда растут ассигнования на НИОКР).

Аналогично, в теоретических моделях предполагается, что капитал меняется медленно. Новые здания и оборудование требуют времени для постройки и установки; инвестиционные проекты — на планирование, согласование и реализацию. По этим причинам капитал предполагается фиксированным в краткосрочной перспективе, то есть госрасходы не оказывают на него значимого влияния.

Напротив, эффективный труд, под которым понимают количество отработанных часов с учетом различий в квалификации рабочей силы (часы инженера ценятся больше, чем рабочего), — это переменная, которая может подстраиваться под изменившиеся условия в экономике уже в краткосрочной перспективе. Гибкость данной переменной в том, что новых рабочих можно быстро нанять, уже работающих — перевести на частичную занятость или уволить. Поэтому возникает вопрос: приведет ли увеличение госрасходов к росту количества отработанных часов и соответственно выпуска? Ответ, как обычно, зависит от величины нескольких разнонаправленных эффектов.

С одной стороны, сокращение располагаемого дохода домохозяйств из-за ожидаемого роста налогов вынуждает их снижать количество часов своего досуга и увеличивать количество рабочих часов (эффект дохода). С другой стороны, рост налогов, вызывающий уменьшение зарплаты домохозяйств, приводит к замещению рабочих часов досугом (эффект замещения). Следовательно, суммарный эффект для предложения труда зависит от того, какой из двух эффектов окажется сильнее. Отметим, что если финансирование госрасходов происходит не за счет увеличения текущих налогов, то эффект замещения окажется незначительным и эффект дохода приведет к росту предложения труда и соответственно товаров и услуг.

Суммарный эффект от роста госрасходов для ВВП зависит от величины всех эффектов для спроса и предложения товаров и услуг. Увеличение госрасходов непосредственно ведет к росту спроса. Но это прямое влияние на спрос компенсируется уменьшением других его составляющих. Со стороны предложения количество эффективных часов может как увеличиться, так и уменьшиться. Чтобы уравнять спрос и предложение товаров и услуг, в модели обычно присутствует переменная, которая свободно подстраивается под изменившиеся условия в экономике. Обычно это реальная или номинальная процентная ставка. Из обзора теоретических моделей (Ramey, 2011) следует, что в теории можно получить достаточно широкий диапазон значений мультипликатора в зависимости от того, за счет каких средств финансируются госрасходы, и других факторов. К сожалению, этот диапазон значений такой широкий, что нельзя однозначно сказать, приведет увеличение госрасходов к росту ВВП или нет.

Так как теория не дает однозначного ответа на вопрос о знаке и величине мультипликатора, следует ответить на него эмпирически. На первый взгляд кажется, что это можно сделать, сопоставляя ряды данных по объемам госрасходов и ВВП и наблюдая, увеличивается ВВП сверх своего обычного тренда при росте госрасходов или нет. Однако из-за ряда проблем эта задача усложняется.

Например, если на данных наблюдается корреляция между динамикой госрасходов и ВВП, то это не позволяет однозначно утверждать, что рост ВВП вызван ростом госрасходов, так как может быть и наоборот: рост ВВП выступает причиной роста госрасходов. Обойти проблему причинности можно через фокусирование оценки эффективности бюджетных расходов на функциональных разделах и направлениях финансирования, о которых априори известно, что они не подвержены изменениям вслед за динамикой ВВП.

Другая сложная проблема для эмпирической оценки эффекта от увеличения госрасходов — ожидания экономических агентов. Обычно государственный бюджет определяется за несколько кварталов до того, как он начинает исполняться, соответственно домохозяйства и фирмы могут подстраивать свое поведение уже в настоящем, зная о будущих событиях в экономике. Например, фирмы могут заранее создать дополнительные рабочие места и закупить больше промежуточных товаров, чтобы быть готовыми к ожидаемому росту спроса на их продукцию в обозримом будущем. В то же время нанятые рабочие начнут покупать товары на полученную зарплату. Таким образом, эффект от увеличения госрасходов в будущем может возникнуть уже в текущем периоде, что приведет к недооценке мультипликатора госрасходов на ВВП.

Один из подходов к эмпирической оценке мультипликаторов, позволяющих решить указанные выше проблемы, предполагает применение векторной авторегрессии (VAR) — статистического метода выявления корреляции (зависимости) в данных. Если имеются длинные ряды по госрасходам, ВВП и ряду других переменных, то VAR-метод позволяет каждой переменной присвоить число, показывающее, как даже незначительное изменение этой переменной влияет на ВВП. Чтобы решить проблему влияния ожиданий экономических агентов, делается ряд предположений об их осведомленности о бюджетной политике и вводится ограничение на то, в какие моменты госрасходы могут влиять на ВВП. Обычно процесс изменения госрасходов в VAR-модели частично детерминированный. Предполагается, что экономические агенты, зная, как устроен процесс расходования государственных средств, могут предвидеть его детерминированную часть, но не могут предсказать случайную, которая называется шоком. Поэтому, идентифицируя шоки и определяя, как ВВП реагирует на них, можно решить проблему ожиданий агентов. Для решения проблемы эндогенности (взаимного влияния госрасходов и ВВП) в VAR-методе вводятся ограничения на зависимости между переменными, исходя из априорных предположений исследователя. Например, модель может быть построена так, что только шоки госрасходов, возникшие в предыдущие четыре квартала, могут повлиять на ВВП в текущем квартале.

Еще один метод, который позволяет избежать описанные выше проблемы эмпирического оценивания мультипликатора госрасходов, — «повествовательный подход» (narrative approach, см.: Romer, Romer, 1989). Для оценки ожиданий экономических агентов относительно будущих госрасходов этот метод предполагает использование официальной информации, например бюджетных документов, новостных статей, официальных прогнозов рынка и др. Сравнение построенных ожиданий динамики госрасходов с реальной динамикой позволяет определить их неожиданные шоки и затем оценить, как ВВП реагирует на них.

В теоретической и эмпирической литературе показано, что значение мультипликатора госрасходов (или фискального мультипликатора) может зависеть от множества факторов, определяющих институциональную структуру экономики. К таким факторам можно отнести следующие:

  • степень открытости экономики — мультипликатор, при прочих равных условиях, будет больше в менее открытых экономиках (Barreil et al., 2012; Ilzetzki et al., 2013);
  • степень регулирования рынка труда государством — мультипликатор будет больше в странах с сильными профсоюзами и высокой степенью регулирования рынка труда (Cole, Ohanian, 2004; Gorodnichenko et al., 2012);
  • развитость финансовых рынков — в странах с менее развитым финансовым рынком мультипликатор будет больше (Dolls et al., 2012);
  • режим обменного курса — в странах с фиксированным обменным курсом мультипликатор будет больше (Born et al., 2013; Ilzetzki et al., 2013).

Как можно видеть, результаты исследований свидетельствуют в пользу гипотезы, согласно которой чем более открыта и менее зарегулирована экономическая система, тем меньший эффект для ВВП будет иметь рост общего уровня государственных расходов. Кроме того, в эмпирической литературе показано, что фискальный мультипликатор зависит от состояния бизнес-цикла: в периоды падения экономики мультипликатор в среднем больше (Jorda, Taylor, 2016; Batini et al., 2012; Baum et al., 2012). Таким образом, влияние фискальных стимулов на экономику может сильно зависеть от фундаментальных факторов экономической среды.

В литературе различают кратко- и долгосрочный мультипликаторы в зависимости от механизма влияния госрасходов на ВВП. Принято считать, что рост госрасходов в краткосрочной перспективе влияет на ВВП через увеличение количества отработанных часов, то есть через количество труда. В долгосрочной перспективе влияние госрасходов на ВВП достигается путем накопления капитала3 (см.: Ramey, 2011). Соответственно кратко- и долгосрочный мультипликаторы могут существенно различаться. Данное наблюдение важно при объяснении вариации мультипликаторов госрасходов в различных сферах экономики.

Влияние роста государственных расходов на увеличение количества эффективных часов, отработанных при производстве, будет примерно одинаковым для разных секторов экономики. Если государство решило дополнительно потратить 100 млн ед. национальной валюты на приобретение новой военной техники для нужд армии или медицинского оборудования для больниц, то производители той и другой продукции увеличат выпуск на 100 млн ед. национальной валюты, наняв новых рабочих или стимулируя повышение производительности труда уже существующих. Таким образом, краткосрочное влияние госрасходов на ВВП через увеличение отработанных часов будет примерно одинаковым в обеих сферах экономики.

Совсем иная ситуация в случае долгосрочного влияния госрасходов на ВВП через воздействие на капитал, используемый в экономике. Оно будет существенно зависеть от сферы экономики, к которой эти расходы относятся. Так, государственные расходы на покупку военной техники теоретически могут привести к тому, что армия станет лучше функционировать и уровень защиты страны от внешних угроз повысится, граждане станут чувствовать себя в большей безопасности и смогут работать эффективнее, однако техника для армии будет продуктом конечного потребления. В случае с государственными расходами на медицинское оборудование население начнет пользоваться более качественным медицинским обслуживанием, тем самым станет более здоровым, что будет означать увеличение человеческого капитала в экономике.

Если попытаться численно измерить изменение человеческого капитала в результате увеличения госрасходов, то величина этого изменения будет разной в двух рассмотренных случаях. Более того, однозначно утверждать, в каком случае накопление капитала окажется больше, нельзя: результат существенно зависит от текущего состояния экономики. В нормальной ситуации, когда уровень защиты от внешних угроз приемлемый, а сами внешние угрозы невысоки, увеличение человеческого капитала за счет улучшения показателей здоровья населення будет больше, чем вследствие ощущения большей безопасности.

Исходя из различий во влиянии на накопление капитала, государственные расходы принято делить в литературе на производительные и непроизводительные (IMF, 1995; Kneller et al., 1999; European Commission, 2012; Gupta et al., 2005). Производительные расходы в долгосрочной перспективе стимулируют экономический рост через накопление капитала. К ним относят расходы на строительство, инфраструктуру, здравоохранение, науку, образование. Непроизводительные расходы соответственно не влияют значимым образом на накопление капитала, если их уровень уже превышает некоторый минимально необходимый. К ним относят расходы на безопасность и правопорядок, национальную оборону, ЖКХ, содержание государственного аппарата. Из этого определения следует, что долгосрочный мультипликатор производительных расходов будет больше, чем непроизводительных, что подтверждается эмпирически (см.: Bose et al., 2007; Baldacci et al., 2008; Dunne, Uye, 2010).

Описанные выше различия в долгосрочном влиянии госрасходов на разные сферы экономики определяют разное влияние расходов на ВВП не только в долго-, но и в краткосрочной перспективе, поскольку экономические агенты формируют ожидания относительно будущего и меняют свое поведение в настоящем. Если ожидания агентов относительно перспектив накопления капитала и роста ВВП будут различаться в случаях, когда государство тратит 100 млн ед. национальной валюты на покупку военной техники или медицинского оборудования, то решения, которые агенты принимают сегодня, также будут различаться.

Примером могут служить решения предпринимателей относительно инвестиций в текущем периоде. Если они ожидают, что экономика будет расти высокими темпами, то они станут больше инвестировать в текущем периоде, так как эти инвестиции позднее обеспечат высокую доходность. Увеличение инвестиций прямо влияет на рост ВВП уже в краткосрочной перспективе — через наращивание совокупного спроса в экономике. Соответственно (косвенное) влияние госрасходов на ВВП в краткосрочном периоде будет зависеть от сферы экономики: производительные расходы окажут большее влияние на ВВП, чем непроизводительные. Таким образом, краткосрочный мультипликатор государственных расходов, как и долгосрочный, зависит от сферы экономики.

В работе: Corsetti et al., 2012, авторы проводят эмпирический анализ детерминант мультипликаторов государственных расходов, используя данные по 17 странам ОЭСР за период 1975-2008 гг. Они пришли к следующим выводам: во-первых, влияние шоков госрасходов на макропоказатели систематически изменяется в зависимости от выбранного режима обменного курса (при фиксированном курсе мультипликатор госрасходов в среднем больше); во-вторых, мультипликатор госрасходов увеличивается во время кризиса.

Существует ряд исследований (Mountford, Uhlig, 2008; Blanchard, Perotti, 2002; Perotti, 2004; Giordano et al., 2008), где также используется VAR-подход применительно к мультипликаторам госрасходов (как общих, так и по отдельным статьям) и показано, что значение мультипликатора варьирует от 0,2 до 1. Такую большую разницу можно объяснить предположениями относительно идентификации шоков.

В работе: Aschauer, 1989, на годовых данных с 1949 по 1985 г. для США показано, что а) невоенные расходы значительно больше влияют на совокупную производительность, чем военные расходы; б) влияние военных расходов на совокупную производительность статистически не значимо; в) расходы на «базовую» инфраструктуру (улицы, автомобильные дороги, аэропорты, общественный транспорт, системы водоснабжения и т. д.) оказывают большее положительное влияние на рост производительности, чем расходы на другие цели.

По данным о государственных расходах в 30 развивающихся странах за период с 1970 по 1990 г. (см.: Bose et al., 2007) было выявлено значимое положительное влияние на экономический рост только расходов на образование, влияние остальных направлений бюджетных трат оказалось незначимым. Анализируя данные по 118 развивающимся странам с 1971 по 2000 г. (Baldacci et al., 2008), авторы выявили положительное и значимое влияние государственных расходов на образование и здравоохранение на экономический рост за счет увеличения капитала в этих сферах. Более того, существует взаимообусловленность между расходами на образование и здравоохранение: более образованные индивиды требуют более высокого качества и количества услуг в сфере здравоохранения, и наоборот: рост сектора здравоохранения требует более высоких знаний и квалификации медицинского персонала, получаемых в сфере образования. Согласно результатам того же исследования, увеличение расходов на образование на 1 п. п. ВВП повышает среднегодовые темпы роста подушевого ВВП на 1,4 п. п. в последующие 15 лет. Увеличение государственных расходов на здравоохранение на 1 п. п. ВВП приводит к росту среднегодового подушевого ВВП на 0,5 п. п. Отмечается существенный временной лаг, в течение которого фиксируется положительное влияние этих расходов на экономический рост: около 2/3 прямого влияния расходов на образование наблюдается в первые 5 лет, но полный эффект можно ожидать лишь спустя 10-15 лет.

В эмпирической литературе активное научное обсуждение влияния военных расходов на экономическое развитие началось с работы: Benoit, 1978, в которой автор установил прямую положительную связь между ними. Это породило обширные исследования, но до сих пор консенсуса в этом вопросе нет (см.: Dunne, Uye, 2010). В первых работах (обзор 39 исследований см. в: Ram, 1995) не было существенных доказательств положительного влияния военных расходов на экономический рост, но не было выявлено и подтверждений их отрицательного влияния (обзор 54 исследований см в: Dunne, 1996). Выводы более поздних исследований стали сводиться к их незначимому или отрицательному влиянию на рост экономики (Smith, 2000; Fisher, Peters, 2010; Вагго, Redlick, 2011). Различия в полученных оценках можно объяснить сложностью при подборе необходимых переменных, а также неоднородностью расходов государства на оборону. Полученное отрицательное влияние, как правило, наблюдалось в странах, переживающих военно-политический кризис и серьезные бюджетные ограничения (Smaldone, 2006). Согласно обзору 103 исследований влияния расходов на оборону, в 20% исследований оно оценено как положительное, в 37 — как отрицательное, в 43% значимая связь не выявлена. По оценкам для группы африканских стран (см.: Dunne, Uye, 2010) было установлено существенное отрицательное влияние военных расходов на экономический рост (коэффициент при соответствующей переменной равен — 4,98). Согласно обзору 170 исследований (см.: Dunne, Tian, 2013), получены более устойчивые результаты, опирающиеся на обширные статистические данные но военным расходам, в соответствии с которыми авторы склоняются к отрицательному влиянию военных расходов на экономический рост. Тем не менее в этих исследованиях не решена проблема эндогенности из-за отсутствия качественной инструментальной переменной.

Среди российских работ можно выделить исследование: Иванова, Каменских, 2011, в котором анализируется эффективность госрасходов в России в 2000-2010 гг. Авторы рассчитали как общий мультипликатор для совокупного объема госрасходов, так и отдельные мультипликаторы для функциональных разделов госрасходов (национальная экономика, ЖКХ, окружающая среда, социальная сфера, культура, национальная оборона, безопасность и правоохранительная деятельность, общегосударственные вопросы). Для получения значений мультипликаторов используется двухшаговая процедура (см.: Corsetti et al., 2012). Авторы получают значение фискального мультипликатора 0,13, что показывает низкую эффективность государственных расходов в целом. Что касается мультипликаторов для отдельных направлений расходов бюджета расширенного правительства, то наибольшую эффективность показали госрасходы на национальную экономику, ЖКХ и охрану окружающей среды (мультипликатор равен 0,55). Для «силовых» расходов оценка мультипликатора составила 0,29, а для культуры и социальной сферы — 0,2.

В работе: Дробышевский, Назаров, 2012, также оценивается величина мультипликатора государственных расходов в России. Использовались следующие данные: совокупные государственные расходы федерального (1999-2011 гг.) и консолидированного (1999-2010 гг.) бюджетов; налоговые доходы федерального (1999-2011 гг.) и консолидированного (1999-2010 гг.) бюджетов; расходы на национальную оборону федерального бюджета (1999-2011 гг.); ВВП и совокупное потребление домашних хозяйств (1999-2010 гг.). Для всех указанных переменных использовались поквартальные данные в подушевом выражении и сопоставимых ценах 2005 г. При этом применялась размерность от двух до четырех переменных и учитывались лагированные значения от 1 до 3. Авторы оценивали величину мультипликатора методом структурной векторной авторегресии (SVAR) и получили следующие значения мультипликаторов (на данных по федеральному бюджету): 0,3 — 0,4 для мультипликатора по выпуску и 0,2 — по потреблению. Кроме оценки общего мультипликатора, в этой работе оценивалась величина мультипликатора военных расходов. В результате мультипликаторы по доходу и по потреблению для данного функционального направления оказались незначимыми и маленькими по абсолютной величине.

Как можно видеть, много исследований посвящено оценке мультипликаторов госрасходов. В ряде из них исследуется долгосрочное влияние изменения госрасходов на ВВП, в других — краткосрочный эффект. Главными эконометрическими трудностями во всех подобных работах выступают наличие возможной обратной связи (уровень ВВП определяет уровень госрасходов), влияние иных переменных (например, стихийное бедствие стало причиной падения ВВП и госрасходов одновременно) и риск занижения эффекта от госрасходов из-за влияния переменных, текущее значение которых определяется ожиданиями относительно будущего. Если не учитывать наличие этих проблем при построении и оценивании моделей, то оценки могут оказаться смещенными.

В целом рост совокупных государственных расходов способствует росту экономики, однако значения мультипликаторов государственных расходов различаются для разных функциональных направлений. В большинстве исследований показано, что государственные расходы на образование, здравоохранение, науку, транспорт и коммуникации положительно влияют на экономический рост. Кроме того, в последнее время большинство авторов склоняются к мнению, что увеличение расходов на оборону и другие «силовые» статьи либо не оказывает влияния на экономический рост, либо влияет отрицательно. Постепенно, с развитием методов оценивания фискальных мультипликаторов, полученные в эмпирической литературе результаты все больше свидетельствуют о позитивном влиянии на экономический рост производительных расходов и о негативном — непроизводительных.

Оценка эффективности бюджетных расходов в России

В нашем исследовании мы используем эмпирическую методологию, основанную на подходе: Corsetti et al., 2012, к оценке структурной векторной авторегрессии (SVAR). Это некоторая модификация классического метода векторной авторегрессии (VAR) и отличается от последнего тем, что накладывает дополнительные ограничения на матрицы коэффициентов. В настоящее время этот метод считается наиболее адекватным инструментом оценки фискальных мультипликаторов (см.: Clarida, Gali, 1993; Blanchard, Perotti, 2002; Mountford, Uhlig, 2008).

Мы оцениваем мультипликаторы по отдельным направлениям расходования бюджетных средств: на национальную безопасность и правоохранительную деятельность, национальную оборону, образование, здравоохранение и спорт, дорожную инфраструктуру и транспорт. Выбор именно этих направлений бюджетных расходов обусловлен доступностью непрерывных рядов данных и тем, что именно они наиболее обсуждаемые и их можно изменить. (В отличие, например, от социальных расходов, которые создают самую серьезную нагрузку на государственный бюджет, однако при текущей системе пенсионного и страхового обеспечения они определяются количеством получателей и в среднесрочной перспективе их трудно изменить.) Кроме стандартных спецификаций с использованием таких переменных, как ВВП, совокупные бюджетные расходы и бюджетные расходы по отдельным функциональным разделам, мы также используем в качестве экзогенной переменной цены на нефть марки Brent4. Включение в уравнения этой переменной объясняется сохраняющейся зависимостью от нефтяной отрасли российской экономики в целом и доходов федерального бюджета в частности.

При оценке используются данные Росстата по ВВП России с 2000 по 2016 г. в текущих ценах и постоянных ценах 2008 г. (в квартальном измерении), а также данные Федерального казначейства об исполнении бюджета расширенного правительства РФ за 2000-2016 гг. Переменные совокупных расходов и расходов по функциональным разделам переведены в постоянные цены 2008 г. с использованием квартальных данных по дефлятору ВВП для Российской Федерации (источник — Росстат).

Расходы бюджета расширенного правительства по отдельным функциональным разделам

На рисунке представлена динамика расходов бюджета расширенного правительства (в % ВВП) по отдельным функциональным разделам за 2000-2017 гг. За исключением последних лет, расходы по различным разделам сильно коррелируют между собой: одновременно падают или растут в зависимости от уменьшения или увеличения общих расходов бюджета. Однако в 2014-2016 гг. наблюдался явный уклон в сторону госрасходов на национальную оборону: они выросли с 3,2 до 4,4%, а расходы по остальным выбранным разделам не изменились или даже снизились5.

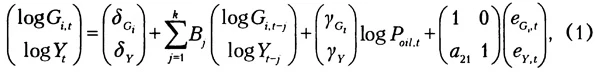
Чтобы оценить мультипликаторы расходов для рассматриваемых разделов бюджетной классификации, предположим, что экономическая система России описывается моделью из двух одновременных уравнений: определяющего расходы бюджета и определяющего ВВП. При этом в модели обе переменные по умолчанию эндогенные. Соответственно для оценки этой динамической системы необходимо сделать дополнительные предположения, например о том, что некоторые переменные экзогенные по отношению к другим, исходя из их экономического смысла. Предположим, во-первых, что цена на нефть на мировом рынке задана экзогенно; во-вторых, что расходы бюджета в текущем периоде не зависят от ВВП того же периода. (Это предположение разумное, так как расходы бюджета в текущем году в соответствии с требованиями бюджетного законодательства определяются законами (решениями) о соответствующих бюджетах бюджетной системы страны, принятыми в предыдущем году, и потому не зависят от ВВП текущего периода.) Таким образом, рассматриваемая модель для оценки мультипликаторов бюджетных расходов имеет следующий вид:

Формула

где: Poil — средняя квартальная цена на нефть (в долларах); Gi — расходы по і-му функциональному разделу (направлению); Y — квартальный ВВП; е — структурные шоки соответствующих переменных.

Расчеты проведены по данным с I кв. 2002 до IV кв. 2016 г. Для нас наибольший интерес представляет коэффициент a21, который отражает реакцию ВВП на единичный шок бюджетных расходов в текущем периоде. Если произойдет независимое увеличение логарифма расходов на 1, то в ответ на это логарифм ВВП увеличится на величину а21. (В терминах самих переменных это равносильно тому, что в ответ на 1-процентный рост бюджетных расходов ВВП увеличится на a21 процентов.)

Модель оценивается для разного количества лагов: одного, двух и трех, а конечная модель выбирается на основе стандартных информационных критериев (АІС и ВІС). Мы приводим оценки только коэффициента а21, который интерпретируем как мультипликатор бюджетных расходов по ВВП. Результаты оценок этого мультипликатора в SVAR-модели с тремя лагами (именно модель с таким количеством лагов была выбрана на основе информационных критериев) представлены в таблице 1.

Таблица 1

Оценка мультипликатора бюджетных расходов по ВВП

Переменная

Значение мультипликатора

Совокупные государственные расходы

0,91*

Расходы на национальную оборону

0,22*

Расходы на национальную безопасность и правоохранительную деятельность

0,78

Расходы на образование

0,38*

Расходы на здравоохранение и спорт

1,25*

Расходы на дорожную инфраструктуру и транспорт

1,64*

* Коэффициенты статистически значимы на уровне 10%.

Источник: здесь и далее в таблицах — расчеты авторов.

В целом можно заключить, что полученные результаты согласуются со значениями мультипликаторов бюджетных расходов для Российской Федерации в других работах (см.: Иванова, Каменских, 2011; Дробышевский, Назаров, 2012). При этом наши результаты подтверждают гипотезу, согласно которой производительные расходы (на образование, здравоохранение и спорт, дорожную инфраструктуру и транспорт) имеют больший мультипликативный эффект для ВВП, чем непроизводительные (прежде всего на национальную оборону и в меньшей степени - на национальную безопасность и правоохранительную деятельность).

Оценка эффекта от изменения структуры бюджета

С точки зрения экономической политики наибольший интерес представляет анализ сравнительной эффективности различных направлений расходования бюджетных средств. Как упоминалось выше, согласно современным представлениям об общественных финансах, непроизводительные расходы, в отличие от производительных, в основном выступают конечным потреблением ресурсов, а значит, имеют меньший мультипликативный эффект для ВВП. Значения мультипликаторов могут существенно отличаться по странам, но их соотношение для производительных и непроизводительных расходов всегда не в пользу последних (см.: Kneller et al., 1999; Gupta et al., 2005; Bose et al., 2007; Baldacci et al., 2008; Dunne, Uye, 2010). Таким образом, изменение структуры бюджета может сказываться на долгосрочном экономическом росте за счет различных мультипликативных эффектов производительных и непроизводительных статей расходов бюджета.

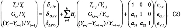
Для оценки влияния структуры расходов бюджета на долгосрочные темпы экономического роста мы оценивали SVAR-модель, в которой в качестве структурной переменной используется темп прироста ВВП, а не его уровень:

Формула

где: Т — налоговые доходы бюджета; Gi — расходы по отдельным разделам (направлениям) бюджета; ΔY/Y — темп прироста ВВП.

Модель оценена на основе квартальных данных с 2009 по 2016 г.6 Оценка проводилась для случая одного и двух лагов (большее количество лагов на таком временном отрезке оценивать не представляется возможным — модель будет требовать слишком большого числа оцениваемых параметров), после чего выбиралась наиболее подходящая модель на основе стандартных информационных критериев (AIC и BIC).

Вид матрицы коэффициентов перед вектором ошибок обусловлен выбором следующих идентифицирующих предположений. Первое: отношение налоговых доходов к ВВП — наиболее экзогенная переменная и в текущем периоде зависит только от своих шоков и не зависит от шоков остальных переменных. Это предположение вполне реалистично, поскольку большая доля доходов бюджета относится к нефтяным доходам, которые зависят от цены на нефть и не зависят от расходов бюджета и ВВП России. Второе предположение такое же, как и в предыдущей модели: госрасходы в текущем периоде не зависят от изменения ВВП в том же периоде.

Здесь интерес представляет коэффициент а32, выступающий мультипликатором бюджетных расходов по ВВП. В модели (2) этот коэффициент показывает, на сколько процентных пунктов изменится темп прироста ВВП в текущем периоде, если расходы увеличатся на величину, равную 1 п. п. ВВП.

В таблице 2 представлены значения краткосрочных мультипликаторов на основе оценки модели (налоговые доходы бюджета, расходы по отдельным разделам (направлениям) бюджета, темп прироста ВВП) с двумя лагами (именно модель с таким количеством лагов была выбрана на основе информационных критериев). Как можно видеть, мультипликаторы для расходов на здравоохранение и спорт, дорожную инфраструктуру и транспорт больше, чем для расходов на национальную оборону. Это означает, что даже краткосрочное влияние производительных расходов на темпы роста ВВП в целом больше, чем непроизводительных.

Таблица 2

Оценка краткосрочных мультипликаторов бюджетных расходов по темпам прироста ВВП

Переменная

Значение мультипликатора

Расходы на национальную оборону

-0,29*

Расходы на национальную безопасность и правоохранительную деятельность

0,26*

Расходы на образование

0,18*

Расходы на здравоохранение и спорт

0,09*

Расходы на дорожную инфраструктуру и транспорт

0,26*

* Коэффициенты статистически значимы на уровне 10%.

Полученные результаты в целом подтверждают гипотезу, согласно которой непроизводительные расходы (в первую очередь на национальную оборону) оказывают негативное краткосрочное влияние на темпы экономического роста, в отличие от производительных (на образование, здравоохранение, транспорт и дорожное строительство). В то же время отметим положительное влияние расходов на национальную безопасность и правоохранительную деятельность.

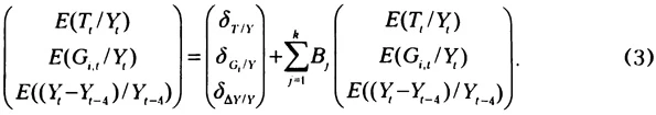
Представляет интерес оценка характера долгосрочного влияния бюджетных расходов по тем или иным функциональным разделам, то есть как изменяется некоторый стационарный уровень экономического роста вследствие изменения той или иной макроэкономической переменной (долгосрочные мультипликативные эффекты). Предполагая стационарность VAR и нулевое математическое ожидание вектора ошибок (eTt eGt eYt)Т, можно определить математическое ожидание от уравнении системы следующим образом:

Формула

Если предположить, что повышение уровня бюджетных расходов происходит при изменении параметра δGi Y, то соотношение между эффектом такого вмешательства для стационарного уровня экономического роста и эффектом для стационарного уровня расходов — его можно назвать долгосрочным мультипликатором такого вмешательства — будет рассчитываться следующим образом:

Формула

В таблице 3 представлена оценка таких долгосрочных мультипликаторов бюджетных расходов по различным функциональным разделам (направлениям).

Таблица 3

Оценка долгосрочных мультипликаторов бюджетных расходов

Переменная

Значение мультипликатора

Расходы на национальную оборону

-0,52

Расходы на национальную безопасность и правоохранительную деятельность

-1,45

Расходы на образование

0,47

Расходы на здравоохранение и спорт

0,14

Расходы на дорожную инфраструктуру и транспорт

-0,68

Примечательно, что значение долгосрочного мультипликатора для расходов на национальную безопасность и правоохранительную деятельность принимает отрицательное расчетное значение, в отличие от краткосрочного значения. Этот результат подтверждает гипотезу, согласно которой расходы в текущем периоде по этому функциональному направлению могут приводить к увеличению выпуска и темпа роста ВВП, однако в средне- и долгосрочной перспективе оказываются непродуктивными и, в сочетании с расходами на национальную оборону, снижают темпы экономического роста. Отрицательный результат для долгосрочного расчетного мультипликатора расходов на дорожную инфраструктуру и транспорт можно объяснить недостаточно обоснованным выбором и завышенными ценами создаваемых (реконструируемых) объектов инфраструктуры, низкими показателями реального ввода новых объектов в этом секторе и чрезмерно большими сроками реализации данных инвестиционных проектов.

Полученные результаты позволяют оценить, как те или иные изменения в структуре расходов по выбранным функциональным разделам (направлениям) могут привести (если они планируются) или привели (если они уже произошли) к изменению темпов роста экономики в краткосрочной (5-7) и долгосрочной (10-15 лет) перспективе. Действительно, некоторое изменение структуры бюджетных расходов, согласно описанным выше и оцененным моделям, приводит к изменениям темпов роста:

Формула

Имеются работы (Идрисов, Синельников-Мурылев, 2013; Кудрин, Соколов, 2017), в которых анализируется текущая бюджетная политика России и предлагаются способы изменения структуры бюджетных расходов (бюджетного маневра). Так, в: Кудрин, Соколов, 2017, предлагаются конкретные меры бюджетного стимулирования экономического роста, предусматривающие перераспределение расходов в пользу производительных направлений: увеличение расходов на образование на 0,9 п. п. ВВП, на здравоохранение — на 0,7 п. п. ВВП, на дорожное хозяйство и транспорт — на 0,9 п. п. ВВП; сокращение расходов на правоохранительную деятельность на 0,5 п. п. ВВП, на национальную оборону — на 0,3 п. п. ВВП.

Если предполагаемый «бюджетный маневр» касается ближайшей перспективы (например, с 2019 г.) и пока носит гипотетический характер, то за последние годы фактически изменилась структура расходов бюджета расширенного правительства: снизились расходы на образование (с 3,7% ВВП в 2011 г. до 3,5% в 2017 г.), на здравоохранение и спорт (с 3,5% ВВП в 2011 г. до 3,3% в 2017 г.), на национальную безопасность и правоохранительную деятельность (с 2,5% ВВП в 2011 г. до 2,3% в 2017 г.). Выросли расходы на национальную оборону (с 2,5% ВВП в 2011 г. до 3,1% ВВП в 2017 г.) и на транспорт и дорожное хозяйство (с 2,0% ВВП в 2011 г. до 2,1% в 2017 г.).

Оценим, как изменение структуры бюджетных расходов в 2011-2017 гг. повлияло на темпы роста ВВП. Для оценки этого влияния, как и потенциального влияния «бюджетного маневра», применяется формула (5), в которой используются представленные в таблицах 2-3 значения кратко- и долгосрочных мультипликаторов. Отметим также, что мы оцениваем эффект изменения структуры расходов бюджета расширенного правительства только но пяти выбранным функциональным разделам (направлениям): образование, здравоохранение, национальная безопасность и правоохранительная деятельность, национальная оборона, дорожное хозяйство и транспорт. В наших оценках отсутствуют такие важные направления расходов, как «социальная политика» и «общегосударственные вопросы». Во-первых, расходы на социальную политику во многом определяются пенсионными выплатами, которые зависят от демографической траектории, а потому во многом предопределены. Во-вторых, статистические ряды данных по другим направлениям не стабильны во времени: некоторые подстатьи бюджетных расходов могли переходить из одного направления расходов в другое. Отсутствие квартальных данных по этим отдельным подстатьям не позволяет получить корректную выборку по некоторым направлениям бюджетных расходов в рассматриваемый период. Соответствующие расчеты представлены в таблице 4.

Таблица 4

Оценка кратко- и долгосрочного эффектов для экономического роста от потенциального «бюджетного маневра» и фактического изменения структуры бюджетных расходов с 2011 по 2017 г. (п. п.)


Краткосрочный эффект

Долгосрочный эффект

«Бюджетный маневр»

+0,42

+0,79

Изменение структуры бюджетных расходов с 2011 по 2017 г.

-0,27

-0,13

Согласно нашим расчетам, перераспределение ресурсов от непроизводительных расходов к производительным в результате «бюджетного маневра» могло бы повысить краткосрочный темп экономического роста на ~0,4 п. п. (на горизонте 5 — 7 лет среднегодовые темпы роста могли быть выше на 0,4 п. п.), а изменение структуры расходов бюджета расширенного правительства в 2011-2017 гг., наоборот, имело негативный краткосрочный эффект ~0,3 п. п. Естественно, долгосрочные эффекты отличаются от краткосрочных. Долгосрочное перераспределение ресурсов от непроизводительных расходов к производительным за счет «бюджетного маневра» могло бы повысить долгосрочные темпы экономического роста на 0,8 п. п., что за 20-30 лет позволит увеличить ВВП на 20-25%. Согласно нашим расчетам, изменение структуры бюджетных расходов за последние пять-шесть лет привело к снижению темпов экономического роста на 0,3 п. п. ежегодно, то есть вследствие трансформации структуры бюджета в 2011-2017 гг. среднегодовые темпы экономического роста уменьшились на 0,3 п. п.


Мы попытались оценить влияние структуры бюджетных расходов на экономику. Для этого были оценены фискальные мультипликаторы уровня и темпа роста ВВП по различным функциональным направлениям расходов бюджета расширенного правительства. Анализ зарубежных исследований влияния государственных расходов на ВВП показал, что при оценке мультипликаторов необходимо учитывать наличие возможной обратной связи (уровень ВВП определяет уровень госрасходов). В данной работе оценки мультипликаторов расходов по различным функциональным разделам бюджетной классификации проводились с помощью модели векторной авторегрессии. Этот подход основан на оценке системы уравнений, где каждая переменная зависит от лагов всех переменных системы. Так как при таком подходе все переменные системы эндогенные (определяются из модели), то влияние одной переменной на другую оценивается через ответную реакцию переменной на изменение другой переменной (которая в модели представляет остаточный член оцененного уравнения).

По результатам исследований по рассматриваемой тематике эффект от дополнительной единицы расходов зависит от их типа: непроизводительные расходы («силовые» статьи) — в отличие от производительных (инвестиции в физический и человеческий капитал) — выступают в основном конечным потреблением ресурсов, поэтому имеют меньший мультипликативный эффект как для ВВП, так и для темпа его роста. Отсюда возникает зависимость темпов экономического роста от структуры бюджета расширенного правительства.

Оценки мультипликаторов на основе SVAR-моделей в целом согласуются со значениями мультипликаторов бюджетных расходов для Российской Федерации, которые были получены в других работах (Иванова, Каменских, 2011; Дробышевский, Назаров, 2012). Их значения для производительных направлений в целом больше, чем для непроизводительных. Оценки влияния функциональных направлений расходов бюджета расширенного правительства на темпы роста ВВП показывают, что производительные расходы оказывают более значимое влияние на экономический рост, чем непроизводительные. Это позволяет оценить, как может повлиять «бюджетный маневр» на структурные темпы роста, а также как повлияло изменение структуры бюджетных расходов в 2011-2017 г. на экономический рост.

В условиях ухудшения внешнеэкономической конъюнктуры снижение расходов бюджета может иметь стабилизирующий эффект, однако с точки зрения влияния на рост оптимально снижать в первую очередь непроизводительные расходы, одновременно увеличивая либо, по меньшей мере, не снижая производительные. Так, оптимизация «несиловых» статей может сместить структуру расходов бюджета в сторону непроизводительных, что вряд ли будет способствовать увеличению темпов долгосрочного экономического роста.

Конечно, обеспечение безопасности при внутренних и внешних угрозах, в том числе за счет финансирования «силовых» статей, — необходимое условие устойчивого функционирования государства и поддержания социально-экономической стабильности. Тем не менее следует взвешенно подходить к определению необходимого уровня непроизводительных трат, понимая «цену», которую приходится платить обществу за ту или иную структуру бюджетных расходов.


1 Данная цифра отражает совокупные госрасходы, включая трансферты населению, которые в структуру ВВП входят как расходы домохозяйств.

2 Статистические данные Всемирного банка (WDI On-line).

3 Например, рост расходов на образование приведет к увеличению человеческого капитала в экономике п долгосрочной перспективе, что станет причиной роста ВВП. Другими словами, долгосрочный мультипликатор расходов на образование положительный.

4 Источник US Energy Information Administration, http://www.eia.gov/dnav pet/ pet_pri_spt_sl_m.htm

5 Отметим, что рост расходов на национальную оборону в 2016 г. объяснялся досрочной реализацией гарантий, выданных федеральным бюджетом по кредитам предприятиям ОПК в 2010-2011 гг., погашение которых приходилось на 2017-2018 гг., — около 0,8% ВВП.

6 Мы намеренно выбрали посткризисный период.


Список литературы / References

Дробышевский С., Назаров П. (2012). Оценка бюджетного и налогового мультипликатора в Российской Федерации. М.: РАНХиГС. [Drobyshevsky S., Nazarov P.(2012). Assessing fiscal multiplier in Russia. Moscow: RANEPA. (In Russian).]

Иванова H., Каменских M. (2011). Эффективность государственных расходов в России / Экономическая политика. № 1. С. 176 — 192. [Ivanova N.. Kamenskikh М. (2011). Budget expenditures effectiveness in Russia. Ekonomicheskaya Politika, No. 1, pp. 176-192. (In Russian).]

Идрисов Г., Синельников-Мурылев С. (2013). Бюджетная политика и экономический рост / , Вопросы экономики. № 8. С. 35 — 59. [Idrisov G., Sinelnikov-Murylev S. (2013). Budget policy and economic growth. Voprosy Ekonomiki, No. 8, pp. 35—59. (In Russian).]

Кнобель А., Соколов И. (2012). Оценка бюджетной политики РФ на среднесрочную перспективу // Экономическое развитие России. Т. 19, № 12. С. 23 — 32. [Knobel A., Sokolov I. (2012). Assessing RF budget policy for medium term. Ekonomicheskoe Razvitie Rossii, Vol. 19, No. 12, pp. 23—32. (In Russian).]

Кудрин А., Соколов И. (2017). Бюджетный маневр и структурная перестройка российской экономики / Вопросы экономики. Jsfe 9. С. 5—27. [Kudrin А., Sokolov I. (2017). Fiscal maneuver and restructuring the Russian economy. Voprosy Ekonomiki, No. 9, pp. 5 — 27. (In Russian).]

Alesina A., Ardagna S., Perotti R., Schiantarelli F. (1999). Fiscal policy, profits and investment. NBER Working Paper, No. 7207.

Aschauer D. A. (1989). Is public expenditure productive? Journal of Monetary Economics, Vol. 23, No. 2, pp. 177-200.

Baldacci E., Clements В., Gupta S., Cui Q. (2008). Social spending, human capital, and growth in developing countries. World Development, Vol. 36, No. 8, pp. 1317-1341.

Barrell R., Holland D., Hurst I. (2012). Fiscal consolidation: Part 2. Fiscal multipliers and fiscal consolidations. OECD Economics Department Working Paper, No. 933.

Barro R. J. (1991). Economic growth in a cross section of countries. Quarterly Journal of Economics, Vol. 106, No. 2, pp. 407—443. Barro R. (1996). Determinants of economic growth: A cross-country'empirical study. NBER Working Paper, No. 5698.

Barro R. J., Lee J. W. (1993). International comparisons of educational attainment. Journal of Monetary Economics, Vol. 32, No. 3, pp. 363 — 394.

Barro R. J, Redlick C. J. (2011). Macroeconomic effects from government purchases and taxes. Quarterly Journal of Economics, Vol. 126, No. 1, pp. 51 — 102.

Barro R., Sala-i-Martin X. (1995). Economic growth. N. Y.: McGraw Hill. Batini N., Callegari G., Mclina G. (2012). Successful austerity in the United States, Europe and Japan. IMF Working Paper, No. 12/190.

Baum A., Poplawski-Ribeiro M., Weber A. (2012). Fiscal multipliers and the state of the economy. IMF Working Paper, No. 12/286.

Benoit E. (1978). Growth and defence in LDCs. Economic Development and Cultural Change, Vol. 26, pp. 271-280.

Blanchard O., Perotti R. (2002). An empirical characterization of the dynamic effects of changes in government spending and taxes on output. Quarterly Journal of Economics, Vol. 117, No. 4, pp. 1329-1368.

Born В., Juessen F., Müller G. (2013). Exchange rate regimes and fiscal multipliers. Journal of Economic Dynamics and Control, Vol. 37, No. 2, pp. 446 — 465.

Bose N., Haque M. E., Osborn D. R. (2007). Public expenditure and economic growth: A disaggregated analysis for developing countries. The Manchester School, Vol. 75, No. 5, pp. 533-556.

Clarida R., Gali J. (1994). Sources of real exchange rate fluctuations: How important are nominal shocks? NBER Working Paper, No. 4658.

Corsetti G., Meier А., Müller G. J. (2012). What determines government spending multipliers? Economic Policy, Vol. 27, No. 72, pp. 521—565.

Cole H. L., Ohanian L. E. (2004). New Deal policies and the persistence of the great depression: A general equilibrium analysis. Journal of Political Economy, Vol. 112, No. 4, pp. 779-816.

Devarajan S., Swaroop V., Zou H. (1997). The composition of public expenditure and economic growth. Journal of Monetary Economics, Vol. 37, No. 2—3, pp. 313—344.

Dicle В., Diele M. F. (2010). Military spending and GDP growth: Is there a general causal relationship? Journal of Comparative Policy Analysis, Vol. 12, No. 3, pp. 311—345.

Dolls M., Fuesta C., Peichl A. (2012). Automatic stabilizers and economic crisis: US vs. Europe. Journal of Public Economics, Vol. 96, No. 3—4, pp. 279—294.

Dunne J. P. (1996). Economic effects of military expenditure in developing countries: A survey. Contributions to Economic Analysis, Vol. 235, pp. 439 — 464.

Dunne J. P., Uye M. (2010). Military spending and development. In: A. Tan (ed.). The global arms trade: A handbook. L.: Routledge, pp. 293—305.

Dunne J. P., Tian N. (2013). Military spending and economic growth: A survey. The Economics of Peace and Security Journal, Vol. 8, No. 1, pp. 5 — 11.

European Commission (2012). The quality of public expenditures in the EU. European Economy. Occasional Papers, No. 125.

Feldstein M. (1996). The missing piece in policy analysis: Social security reform. American Economic Review, Vol. 86, No. 2, pp. 1 — 14.

Fisher J. D. M., Peters R. (2010). Using stock return to identify government spending shocks. Journal of Economic Literature, Vol. 120, No. 544, pp. 414—436.

Giordano R., Momigliano S., Neri S., Perotti R. (2008). The effects of fiscal policy in Italy: Evidence from a VAR model. Banca dfItalia Working Papers, January.

Gorodnichenko Y., Mendoza E.G., Tesar L. L. (2012). The Finnish great depression: From Russia with love. American Economic Review, Vol. 102, No. 4, pp. 1619 — 1643.

Gupta S., Clements В., Baldacci E., Mulas-Granados C. (2005). Fiscal policy, expenditure composition, and growth in low-income countries. Journal of International Money and Finance, Vol. 24, No. 3, pp. 441—463.

IMF (1995). Unproductive public expenditures: A pragmatic approach to policy analysis. IMF Pamphlet Series, No. 48.

Ilzetzki E, Mendoza E. G., Vegh C. A. (2013). The time for austerity: Estimating the average treatment effect of fiscal policy. Journal of Monetary Economics, Vol. 60, No. 2, pp. 239-254.

Iradian G. (2007). Rapid growth in transition economies: Growth-accounting approach. IMF Working Paper, No. WP/07/164.

Jorda Т., Taylor A. M. (2016). How big (small?) are fiscal multipliers? Journal of Monetary Economics, Vol. 60, No. 2, pp. 239—254.

Kneller R., Bleaney M., Gemell N. (1999). Fiscal policy and growth: Evidence from OECD countries. Journal of Public Economics, Vol. 74, No. 2, pp. 171 — 190.

Lucas Jr. R. E. (1988). On the mechanics of economic development. Journal of Monetary Economics, Vol. 22, No. 1, pp. 3 — 42.

Moreno-Dodson B. (ed.) (2013). Is fiscal policy the answer? A developing country perspective. Washington, DC: World Bank.

Mountford A., Uhlig H. (2008). What are the effects of fiscal policy shocks? NBER Working Paper, No. 14551.

Perotti R. (2004). Estimating the effects of fiscal policy in OECD countries. IGIER Working Papers, No. 276.

Ram R. (1995). Defense expenditure and economic growth. In: K. Hartley, T. Sandler (eds.). Handbook of defense economics. Vol. 1. Amsterdam: Elsevier, pp. 251—274.

Ramey V. A. (2011). Can government purchases stimulate the economy? Journal of Economic Literature, Vol. 49, No. 3, pp. 73 -85.

Romer С. D., Romer D. H. (1989). Does monetary policy matter? A new test in the spirit of Friedman and Schwartz. NBER Macroeconomics Annual, Vol. 4, pp. 121 — 170.

Smaldone J. Р. (2006). African military spending: Defence versus development? African Security Review, Vol. 15, No. 4, pp. 18 — 32.

Smith R. P. (2000). Defence expenditure and economic growth. In: N. P. Gleditsch, G. Lindgren, N. Mouhleb, S. Smit, I. de Soysa (eds.). Making peace pay: A bibliography on disarmament and conversion. Claremont, CA: Regina Books, pp. 15 — 24.

Tanzi V., Zee H. (1997). Fiscal policy and long-run growth. International Monetary Fund Staff Papers, Vol. 44, No. 2, pp. 179-209.

World Bank (2006). Fiscal policy for growth and development: An interim report Background Paper for the Development Committee Meetings. Washington, DC.

World Bank (2007). Fiscal policy for growth and development: Further analysis and les sons from country case studies. Background Paper for the Development Committee Meetings. Washington, DC.